🇳🇴 🇬🇧 🇩🇪 🇨🇿 🇫🇮

Meteor, poloha: Ydstebøhamn 2023-08-03 23:15:30 UTC

Soubor KML  |  InteraktivnĂ­ mapa

Mapa zobrazuje dráhy meteoru. Světlejší čáry ukazují směry od pozorovacích stanic při objevení se meteoru a tmavší čáry, kde byl naposledy viděn. Modrá šipka značí viditelnou dráhu meteoru.

static map
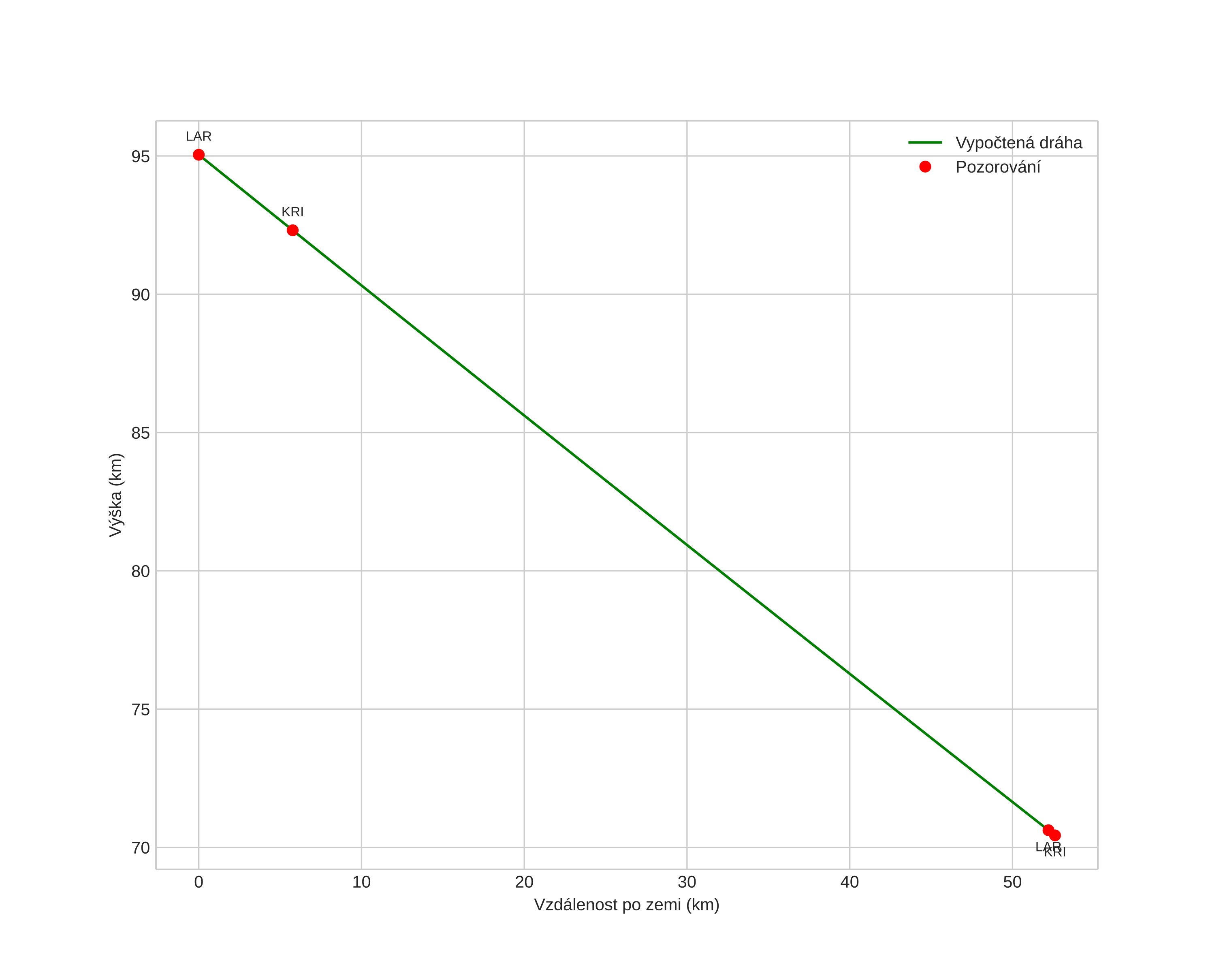
height profile
Atmosférická dráha meteoru:
Počáteční výška: 93,6 km
Konečná výška: 70,1 km
Počáteční poloha: 58,577N 5,864E
Konečná poloha: 58,939N 5,357E
Směr: 324,2°
Sklon: 25,3°
VstupnĂ­ rychlost: 43,2 km/s
Rektascenze radiantu: 22:34 (338,7°)
Deklinace radiantu: -2,3°
MeteorickĂ˝ roj: sporadickĂ˝
Elementy dráhy meteoroidu:
Vzdálenost v periheliu: 0,067 AU
Excentricita: 0,978
Sklon dráhy: 24,8°
Délka vzestupného uzlu: 131,0°
Argument perihelia: 332,8°
Střední anomálie: 353,9°
Epocha: 2023 AUG 03 23:15:30
orbit plot

NeinteraktivnĂ­ graf | InteraktivnĂ­ graf

position vs time
speed and acceleration