🇳🇴 🇬🇧 🇩🇪 🇨🇿 🇫🇮

Meteor, poloha: Prestestranda 2023-08-11 00:02:44 UTC

Soubor KML  |  InteraktivnĂ­ mapa

Mapa zobrazuje dráhy meteoru. Světlejší čáry ukazují směry od pozorovacích stanic při objevení se meteoru a tmavší čáry, kde byl naposledy viděn. Modrá šipka značí viditelnou dráhu meteoru.

static map
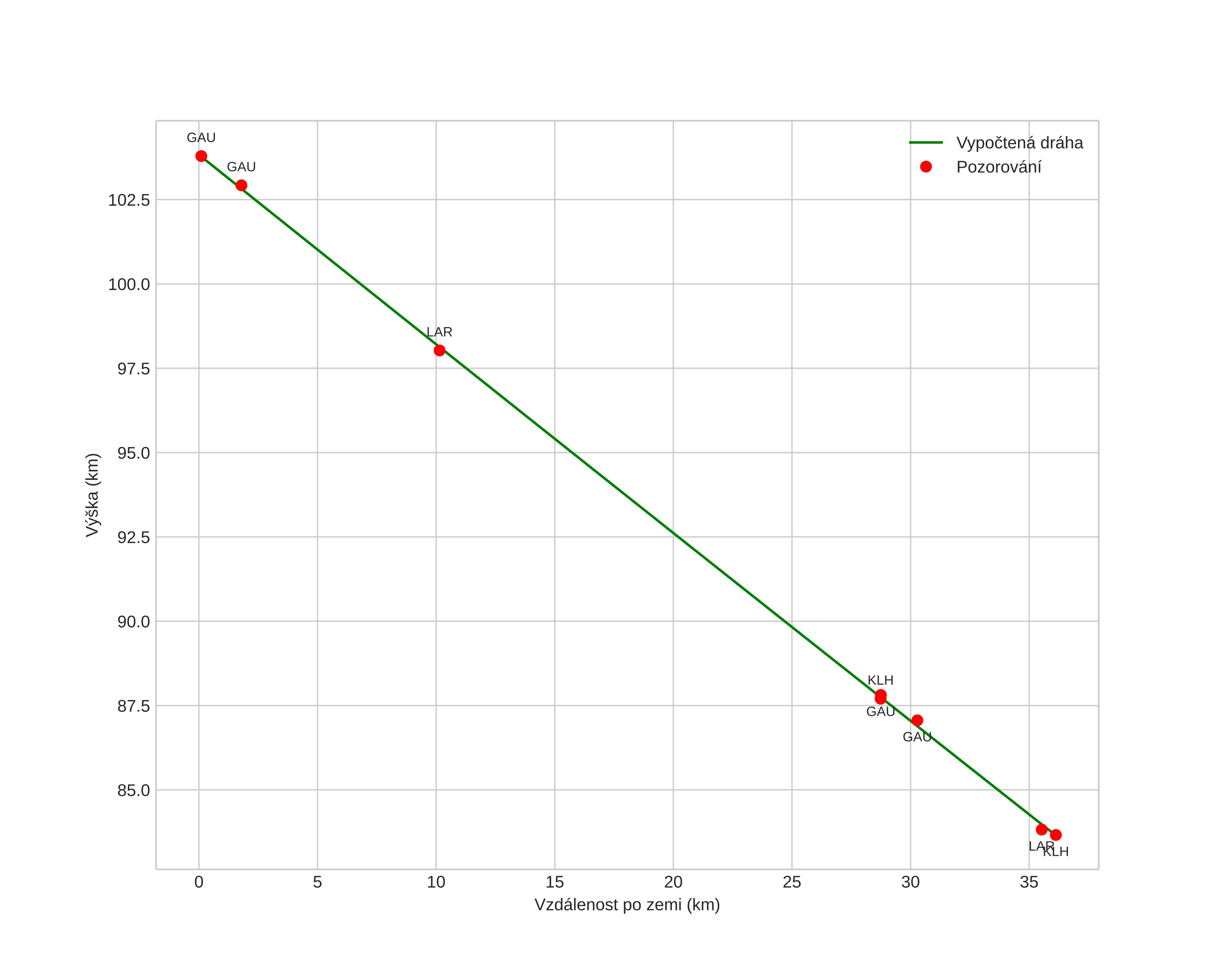
height profile
Atmosférická dráha meteoru:
Počáteční výška: 102,1 km
Konečná výška: 83,7 km
Počáteční poloha: 58,783N 9,036E
Konečná poloha: 59,075N 8,860E
Směr: 342,8°
Sklon: 28,4°
VstupnĂ­ rychlost: 36,1 km/s
Rektascenze radiantu: 22:54 (343,5°)
Deklinace radiantu: -3,5°
MeteorickĂ˝ roj: sporadickĂ˝
Elementy dráhy meteoroidu:
Vzdálenost v periheliu: 0,130 AU
Excentricita: 0,917
Sklon dráhy: 7,7°
Délka vzestupného uzlu: 137,8°
Argument perihelia: 325,3°
Střední anomálie: 341,2°
Epocha: 2023 AUG 11 00:02:44
orbit plot

NeinteraktivnĂ­ graf | InteraktivnĂ­ graf

position vs time
speed and acceleration