🇳🇴 🇬🇧 🇩🇪 🇨🇿 🇫🇮

Meteor, poloha: Nykøbing Mors 2023-08-11 00:59:35 UTC

Soubor KML  |  InteraktivnĂ­ mapa

Mapa zobrazuje dráhy meteoru. Světlejší čáry ukazují směry od pozorovacích stanic při objevení se meteoru a tmavší čáry, kde byl naposledy viděn. Modrá šipka značí viditelnou dráhu meteoru.

static map
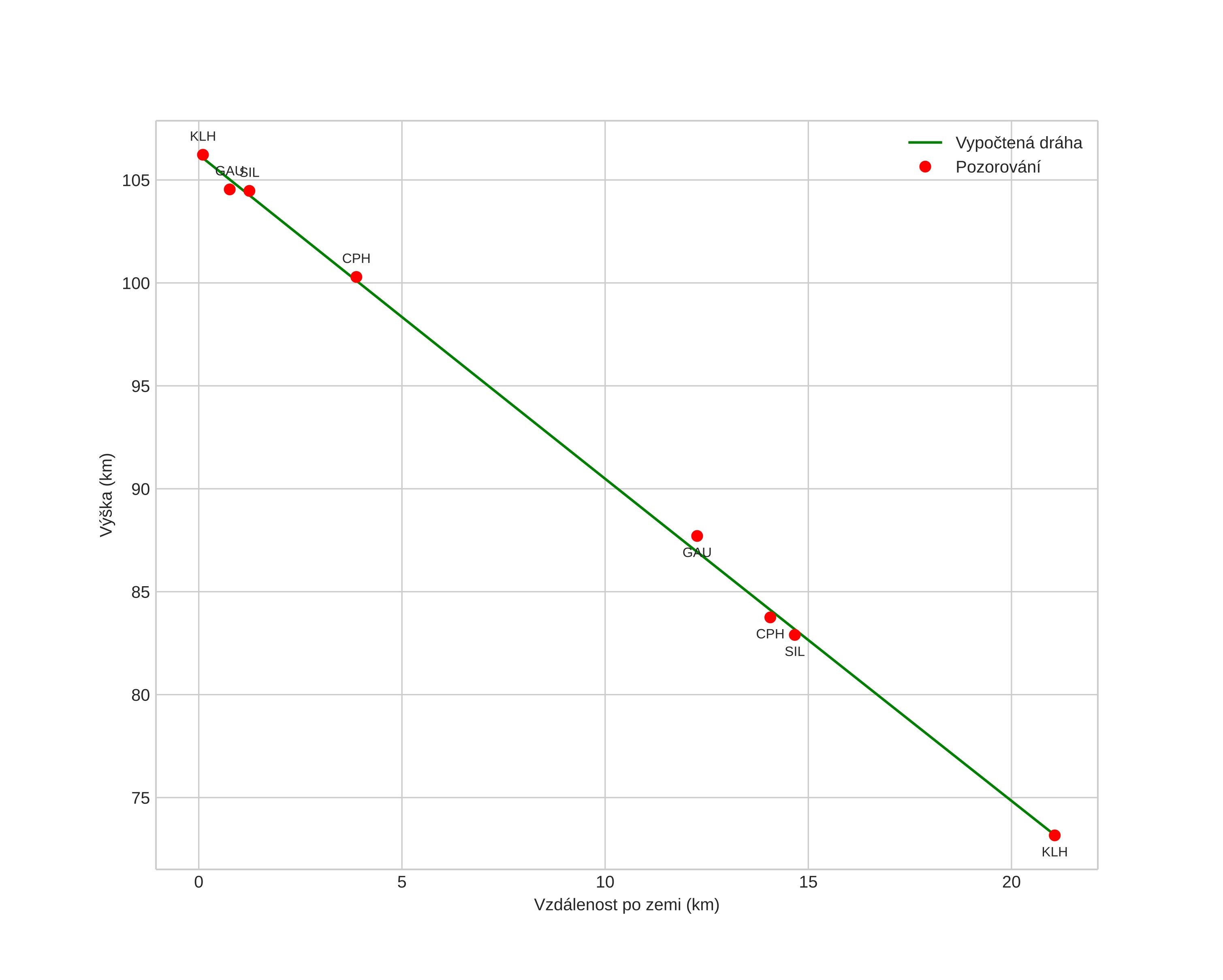
height profile
Atmosférická dráha meteoru:
Počáteční výška: 106,1 km
Konečná výška: 73,1 km
Počáteční poloha: 56,809N 9,052E
Konečná poloha: 56,712N 8,755E
Směr: 239,2°
Sklon: 57,4°
VstupnĂ­ rychlost: 65,4 km/s
Rektascenze radiantu: 03:04 (46,1°)
Deklinace radiantu: 58,8°
MeteorickĂ˝ roj: Perseidy
Elementy dráhy meteoroidu:
Vzdálenost v periheliu: 0,956 AU
Excentricita: 1,448
Sklon dráhy: 114,5°
Délka vzestupného uzlu: 137,8°
Argument perihelia: 154,6°
Střední anomálie: 5,1°
Epocha: 2023 AUG 11 00:59:35
orbit plot

NeinteraktivnĂ­ graf | InteraktivnĂ­ graf

position vs time
speed and acceleration