🇳🇴 🇬🇧 🇩🇪 🇨🇿 🇫🇮

Meteor, poloha: Jørpeland 2023-08-11 01:08:01 UTC

Soubor KML  |  InteraktivnĂ­ mapa

Mapa zobrazuje dráhy meteoru. Světlejší čáry ukazují směry od pozorovacích stanic při objevení se meteoru a tmavší čáry, kde byl naposledy viděn. Modrá šipka značí viditelnou dráhu meteoru.

static map
height profile
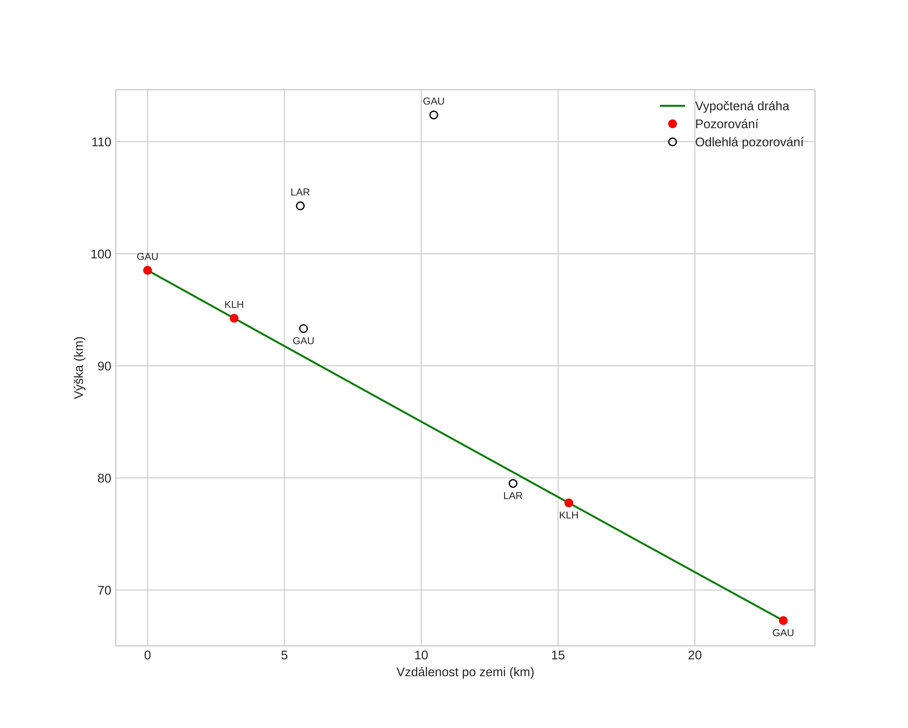
Atmosférická dráha meteoru:
Počáteční výška: 107,8 km
Konečná výška: 78,1 km
Počáteční poloha: 59,099N 6,354E
Konečná poloha: 59,023N 6,075E
Směr: 242,0°
Sklon: 58,7°
VstupnĂ­ rychlost: 59,0 km/s
Rektascenze radiantu: 03:02 (45,6°)
Deklinace radiantu: 59,0°
MeteorickĂ˝ roj: Perseidy
Elementy dráhy meteoroidu:
Vzdálenost v periheliu: 0,942 AU
Excentricita: 0,917
Sklon dráhy: 110,3°
Délka vzestupného uzlu: 137,8°
Argument perihelia: 148,4°
Střední anomálie: 0,6°
Epocha: 2023 AUG 11 01:08:01
orbit plot

NeinteraktivnĂ­ graf | InteraktivnĂ­ graf

position vs time
speed and acceleration