🇳🇴 🇬🇧 🇩🇪 🇨🇿 🇫🇮

Meteor, poloha: Grimstad 2023-08-11 01:11:28 UTC

Soubor KML  |  InteraktivnĂ­ mapa

Mapa zobrazuje dráhy meteoru. Světlejší čáry ukazují směry od pozorovacích stanic při objevení se meteoru a tmavší čáry, kde byl naposledy viděn. Modrá šipka značí viditelnou dráhu meteoru.

static map
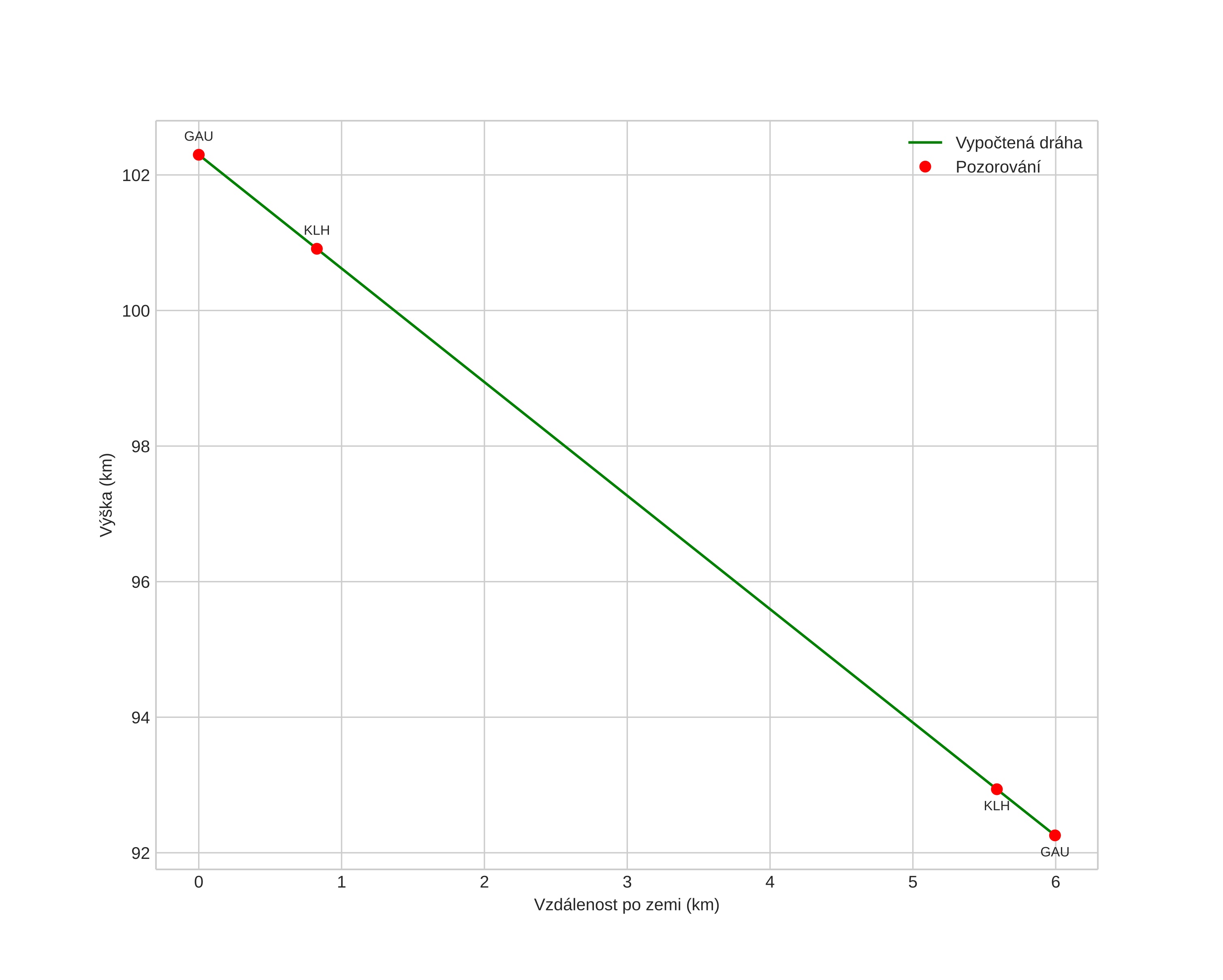
height profile
Atmosférická dráha meteoru:
Počáteční výška: 103,7 km
Konečná výška: 91,7 km
Počáteční poloha: 57,798N 9,002E
Konečná poloha: 57,769N 8,895E
Směr: 243,6°
Sklon: 59,3°
VstupnĂ­ rychlost: 65,6 km/s
Rektascenze radiantu: 03:01 (45,4°)
Deklinace radiantu: 57,9°
MeteorickĂ˝ roj: Perseidy
Elementy dráhy meteoroidu:
Vzdálenost v periheliu: 0,960 AU
Excentricita: 1,436
Sklon dráhy: 115,7°
Délka vzestupného uzlu: 137,8°
Argument perihelia: 155,6°
Střední anomálie: 4,7°
Epocha: 2023 AUG 11 01:11:28
orbit plot

NeinteraktivnĂ­ graf | InteraktivnĂ­ graf

position vs time
speed and acceleration