🇳🇴 🇬🇧 🇩🇪 🇨🇿 🇫🇮

Meteor, poloha: Lidköping 2023-08-11 01:22:36 UTC

Soubor KML  |  InteraktivnĂ­ mapa

Mapa zobrazuje dráhy meteoru. Světlejší čáry ukazují směry od pozorovacích stanic při objevení se meteoru a tmavší čáry, kde byl naposledy viděn. Modrá šipka značí viditelnou dráhu meteoru.

static map
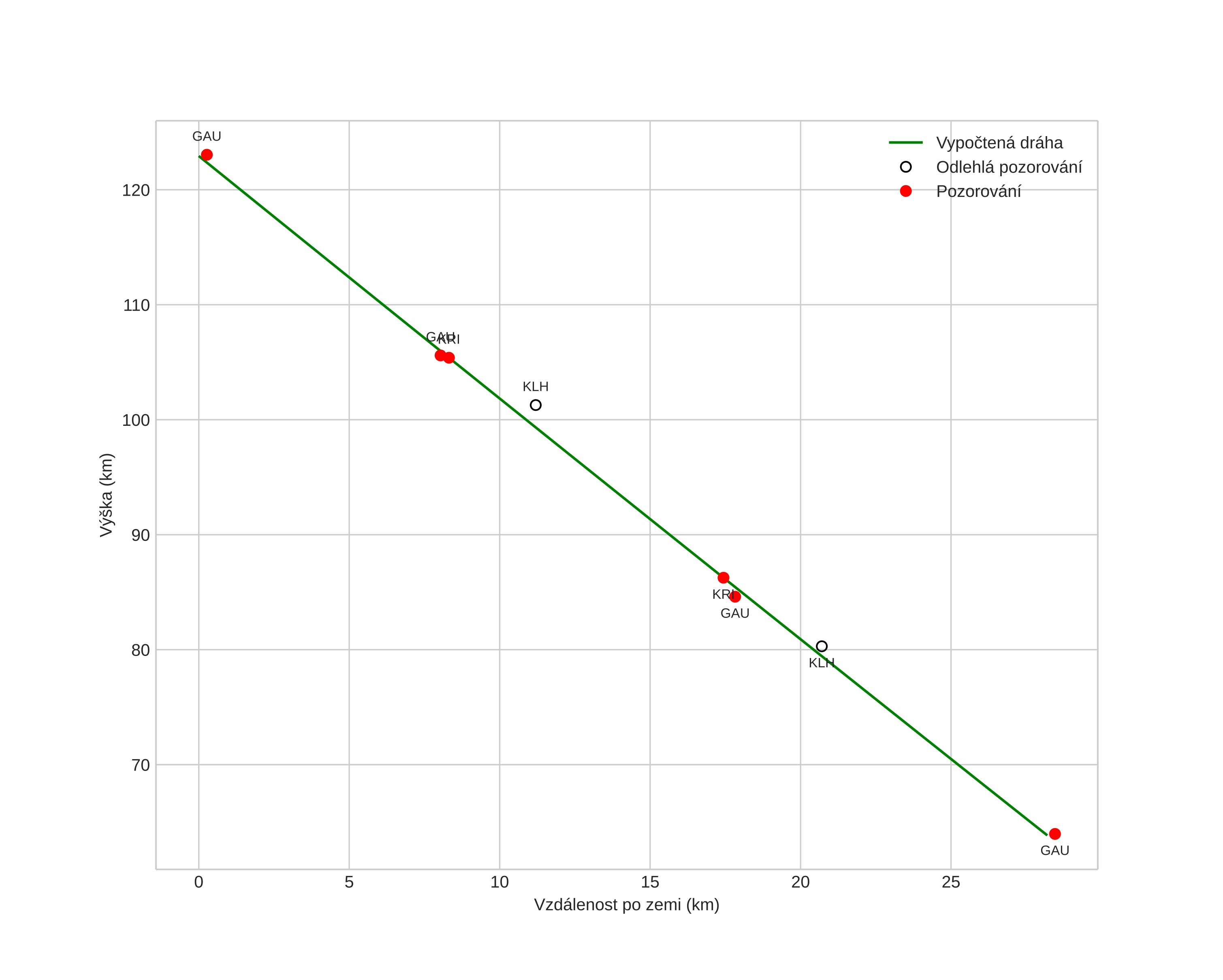
height profile
Atmosférická dráha meteoru:
Počáteční výška: 122,9 km
Konečná výška: 63,9 km
Počáteční poloha: 58,888N 13,569E
Konečná poloha: 58,792N 13,115E
Směr: 248,0°
Sklon: 64,5°
VstupnĂ­ rychlost: 64,7 km/s
Rektascenze radiantu: 02:53 (43,5°)
Deklinace radiantu: 58,7°
MeteorickĂ˝ roj: Perseidy
Elementy dráhy meteoroidu:
Vzdálenost v periheliu: 0,968 AU
Excentricita: 1,395
Sklon dráhy: 114,0°
Délka vzestupného uzlu: 137,8°
Argument perihelia: 157,4°
Střední anomálie: 3,7°
Epocha: 2023 AUG 11 01:22:36
orbit plot

NeinteraktivnĂ­ graf | InteraktivnĂ­ graf

position vs time
speed and acceleration