🇳🇴 🇬🇧 🇩🇪 🇨🇿 🇫🇮

Meteor, poloha: Fjerritslev 2023-08-22 20:31:37 UTC

Soubor KML  |  InteraktivnĂ­ mapa

Mapa zobrazuje dráhy meteoru. Světlejší čáry ukazují směry od pozorovacích stanic při objevení se meteoru a tmavší čáry, kde byl naposledy viděn. Modrá šipka značí viditelnou dráhu meteoru.

static map
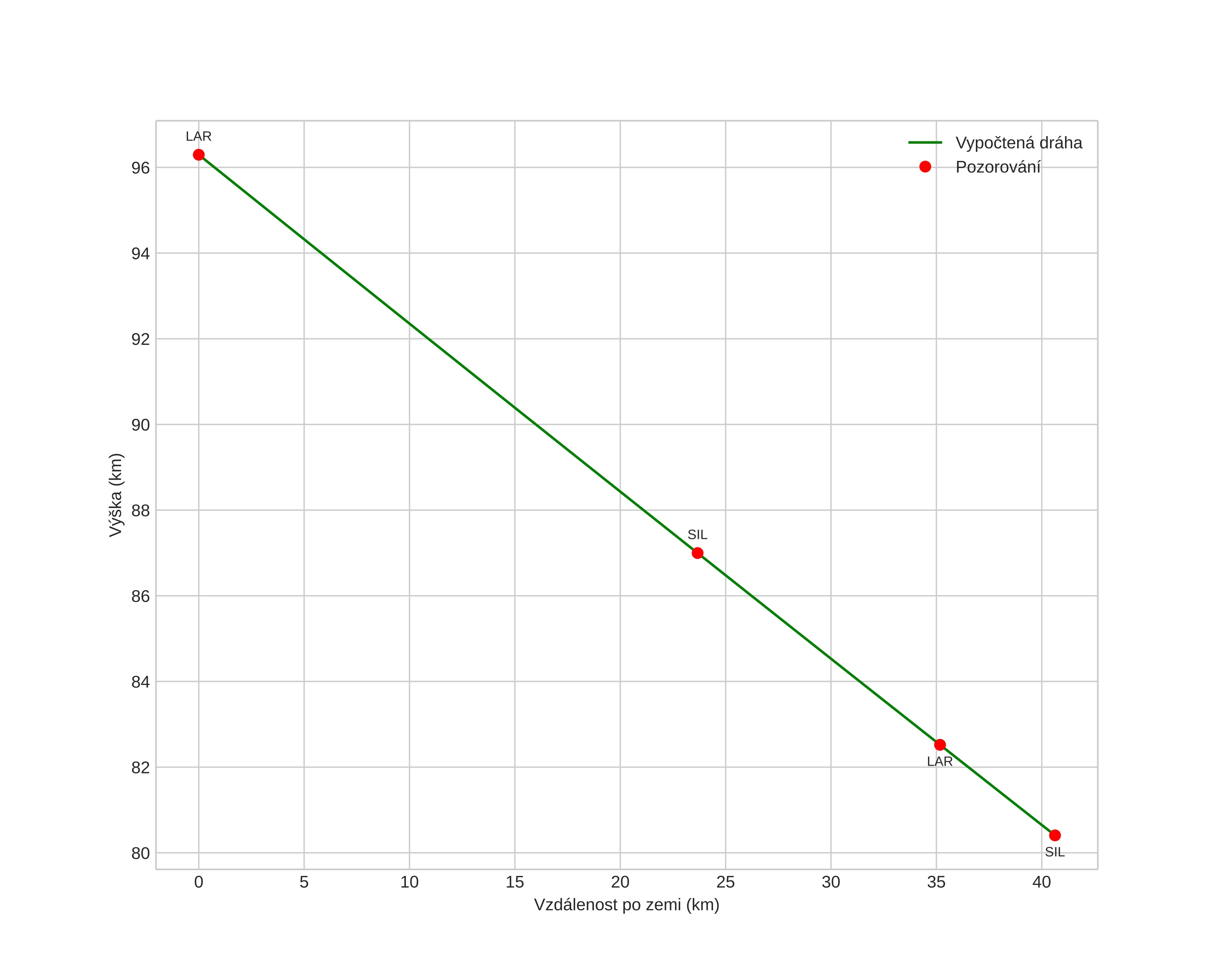
height profile
Atmosférická dráha meteoru:
Počáteční výška: 98,1 km
Konečná výška: 84,7 km
Počáteční poloha: 57,406N 8,820E
Konečná poloha: 57,105N 9,013E
Směr: 160,8°
Sklon: 20,7°
VstupnĂ­ rychlost: 45,3 km/s
Rektascenze radiantu: 09:04 (136,1°)
Deklinace radiantu: 49,5°
MeteorickĂ˝ roj: sporadickĂ˝
Elementy dráhy meteoroidu:
Vzdálenost v periheliu: 0,392 AU
Excentricita: 1,024
Sklon dráhy: 60,4°
Délka vzestupného uzlu: 149,2°
Argument perihelia: 77,9°
Střední anomálie: 0,6°
Epocha: 2023 AUG 22 20:31:37
orbit plot

NeinteraktivnĂ­ graf | InteraktivnĂ­ graf

position vs time
speed and acceleration