🇳🇴 🇬🇧 🇩🇪 🇨🇿 🇫🇮

Meteor, poloha: Alta 2023-08-27 21:49:56 UTC

Soubor KML  |  InteraktivnĂ­ mapa

Mapa zobrazuje dráhy meteoru. Světlejší čáry ukazují směry od pozorovacích stanic při objevení se meteoru a tmavší čáry, kde byl naposledy viděn. Modrá šipka značí viditelnou dráhu meteoru.

static map
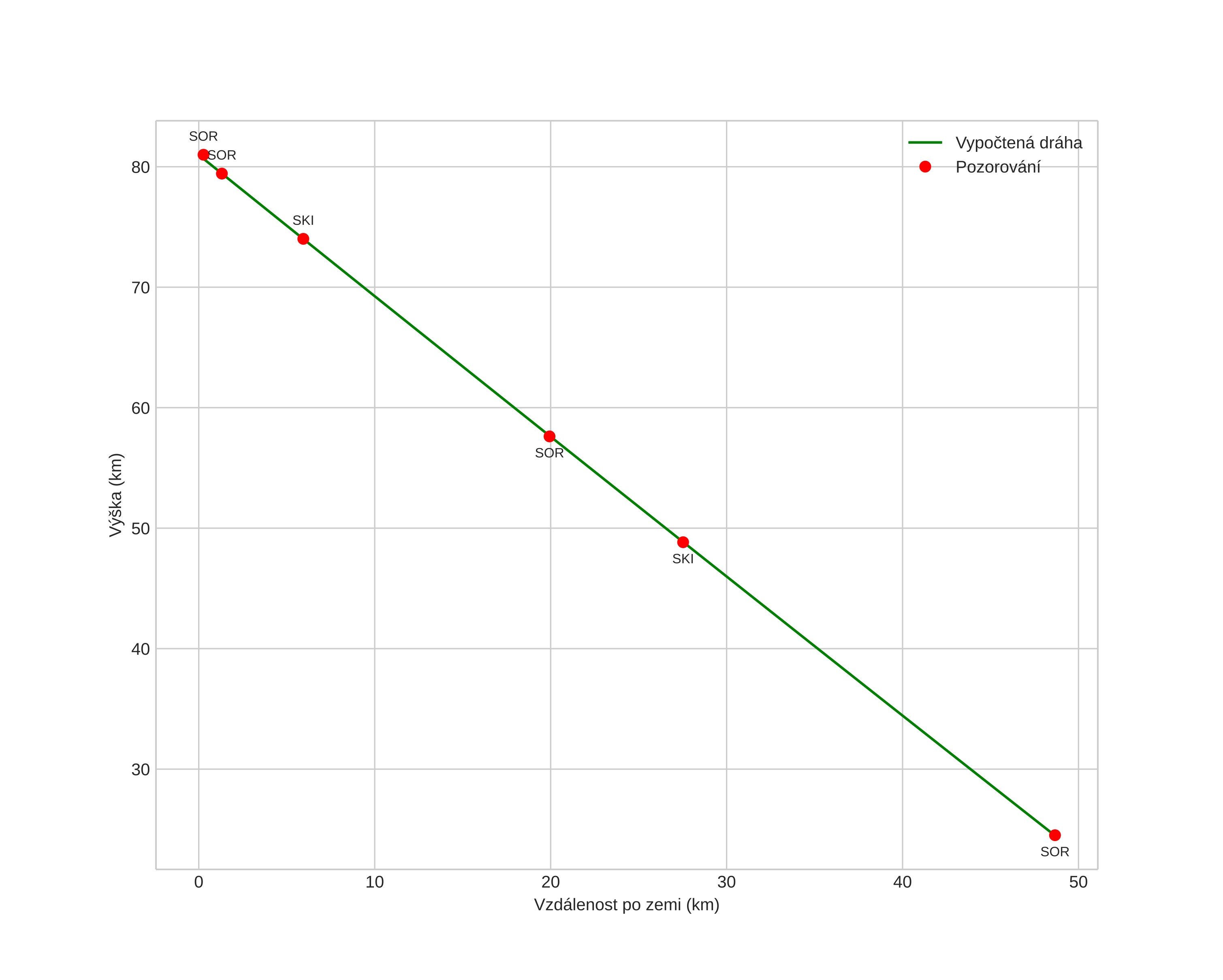
height profile
Atmosférická dráha meteoru:
Počáteční výška: 81,0 km
Konečná výška: 24,5 km
Počáteční poloha: 69,633N 24,899E
Konečná poloha: 69,542N 23,672E
Směr: 258,6°
Sklon: 49,3°
VstupnĂ­ rychlost: 49,8 km/s
Rektascenze radiantu: 03:01 (45,5°)
Deklinace radiantu: 48,6°
MeteorickĂ˝ roj: sporadickĂ˝
Elementy dráhy meteoroidu:
Vzdálenost v periheliu: 0,694 AU
Excentricita: 0,224
Sklon dráhy: 116,7°
Délka vzestupného uzlu: 154,0°
Argument perihelia: 315,1°
Střední anomálie: 245,3°
Epocha: 2023 AUG 27 21:49:56
orbit plot

NeinteraktivnĂ­ graf | InteraktivnĂ­ graf

position vs time
speed and acceleration