🇳🇴 🇬🇧 🇩🇪 🇨🇿 🇫🇮

Meteor, poloha: Harboøre 2023-09-04 22:18:58 UTC

Soubor KML  |  InteraktivnĂ­ mapa

Mapa zobrazuje dráhy meteoru. Světlejší čáry ukazují směry od pozorovacích stanic při objevení se meteoru a tmavší čáry, kde byl naposledy viděn. Modrá šipka značí viditelnou dráhu meteoru.

static map
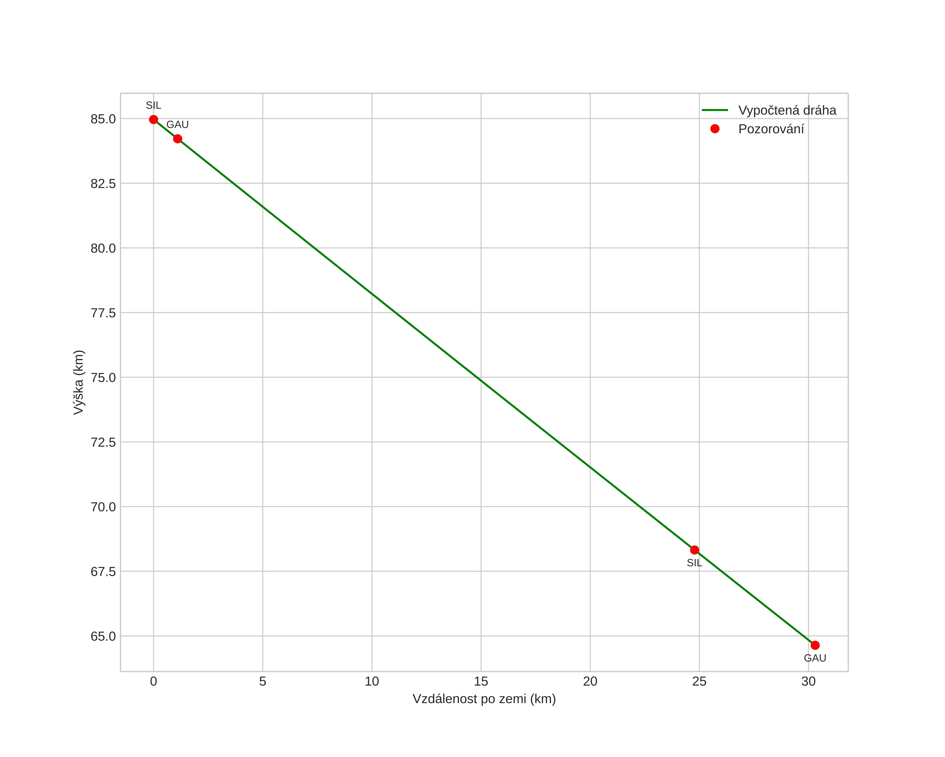
height profile
Atmosférická dráha meteoru:
Počáteční výška: 85,4 km
Konečná výška: 64,5 km
Počáteční poloha: 56,137N 7,897E
Konečná poloha: 56,388N 7,674E
Směr: 333,8°
Sklon: 33,9°
VstupnĂ­ rychlost: 32,4 km/s
Rektascenze radiantu: 23:10 (347,6°)
Deklinace radiantu: 0,7°
MeteorickĂ˝ roj: sporadickĂ˝
Elementy dráhy meteoroidu:
Vzdálenost v periheliu: 0,402 AU
Excentricita: 0,926
Sklon dráhy: 6,5°
Délka vzestupného uzlu: 161,8°
Argument perihelia: 284,5°
Střední anomálie: 356,8°
Epocha: 2023 SEP 04 22:18:58
orbit plot

NeinteraktivnĂ­ graf | InteraktivnĂ­ graf

position vs time
speed and acceleration