🇳🇴 🇬🇧 🇩🇪 🇨🇿 🇫🇮

Meteor, poloha: EidsvĂĄg 2023-09-05 20:20:10 UTC

Soubor KML  |  InteraktivnĂ­ mapa

Mapa zobrazuje dráhy meteoru. Světlejší čáry ukazují směry od pozorovacích stanic při objevení se meteoru a tmavší čáry, kde byl naposledy viděn. Modrá šipka značí viditelnou dráhu meteoru.

static map
height profile
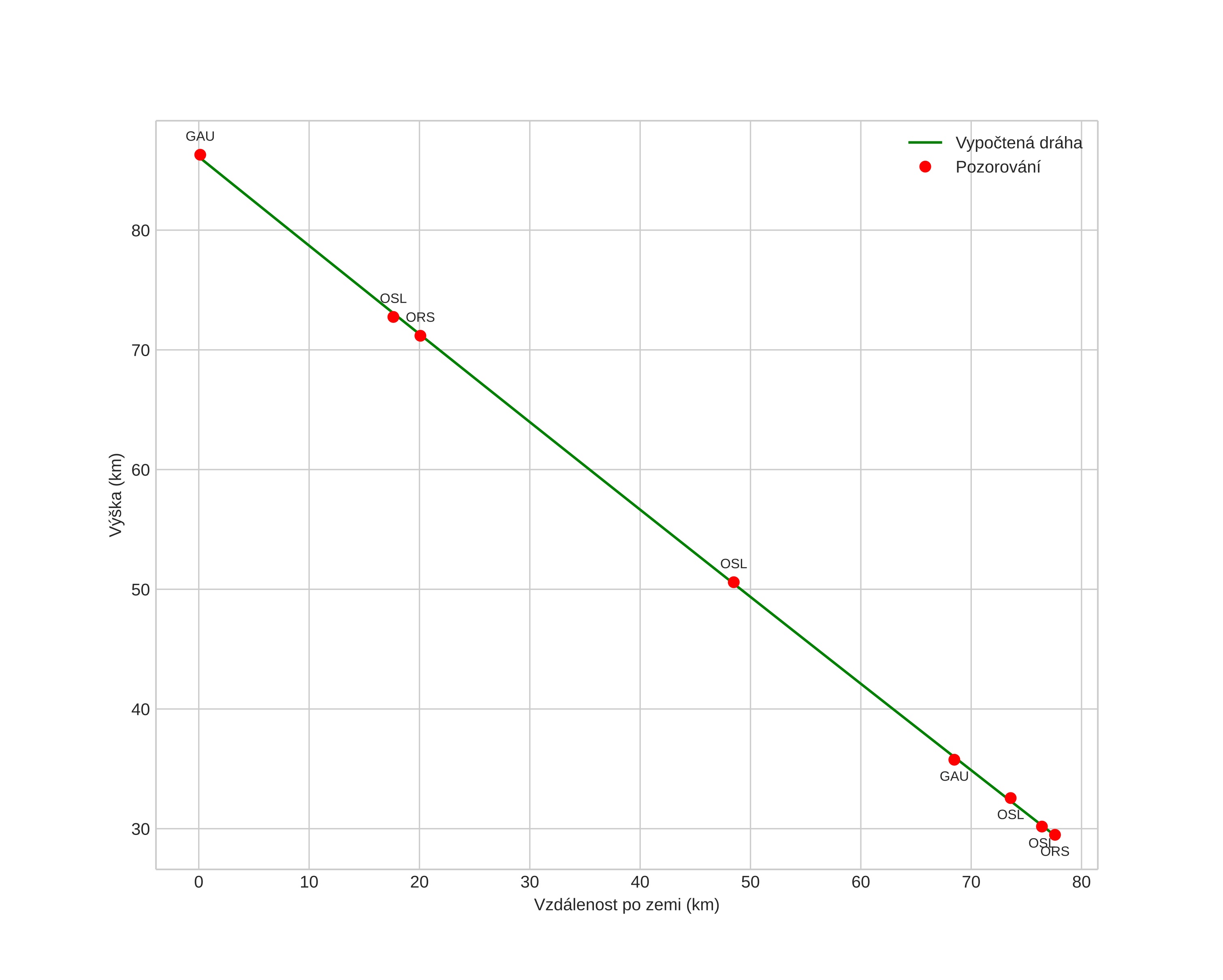
Atmosférická dráha meteoru:
Počáteční výška: 86,1 km
Konečná výška: 29,4 km
Počáteční poloha: 63,014N 6,584E
Konečná poloha: 62,773N 8,021E
Směr: 109,5°
Sklon: 36,2°
VstupnĂ­ rychlost: 19,9 km/s
Rektascenze radiantu: 13:37 (204,4°)
Deklinace radiantu: 35,7°
MeteorickĂ˝ roj: sporadickĂ˝
Elementy dráhy meteoroidu:
Vzdálenost v periheliu: 0,901 AU
Excentricita: 0,669
Sklon dráhy: 18,0°
Délka vzestupného uzlu: 162,7°
Argument perihelia: 137,2°
Střední anomálie: 6,8°
Epocha: 2023 SEP 05 20:20:10
orbit plot

NeinteraktivnĂ­ graf | InteraktivnĂ­ graf

position vs time
speed and acceleration

Gaustatoppen (GAU) cam2


gnomonic
Videa
• Gnomonická
• Gnomonická se souřadnicemi
• Původní
• Původní se souřadnicemi
Obrázky
• Gnomonická
• Gnomonická se souřadnicemi
• Gnomonická s popisky
• Původní
• Původní se souřadnicemi
Textové soubory
• Detekce
• Pozorování
• Souřadnice
• Chybová hlášení
• Protokol
Jasnost