🇳🇴 🇬🇧 🇩🇪 🇨🇿 🇫🇮

Meteor, poloha: Prestestranda 2023-09-12 21:02:38 UTC

Soubor KML  |  InteraktivnĂ­ mapa

Mapa zobrazuje dráhy meteoru. Světlejší čáry ukazují směry od pozorovacích stanic při objevení se meteoru a tmavší čáry, kde byl naposledy viděn. Modrá šipka značí viditelnou dráhu meteoru.

static map
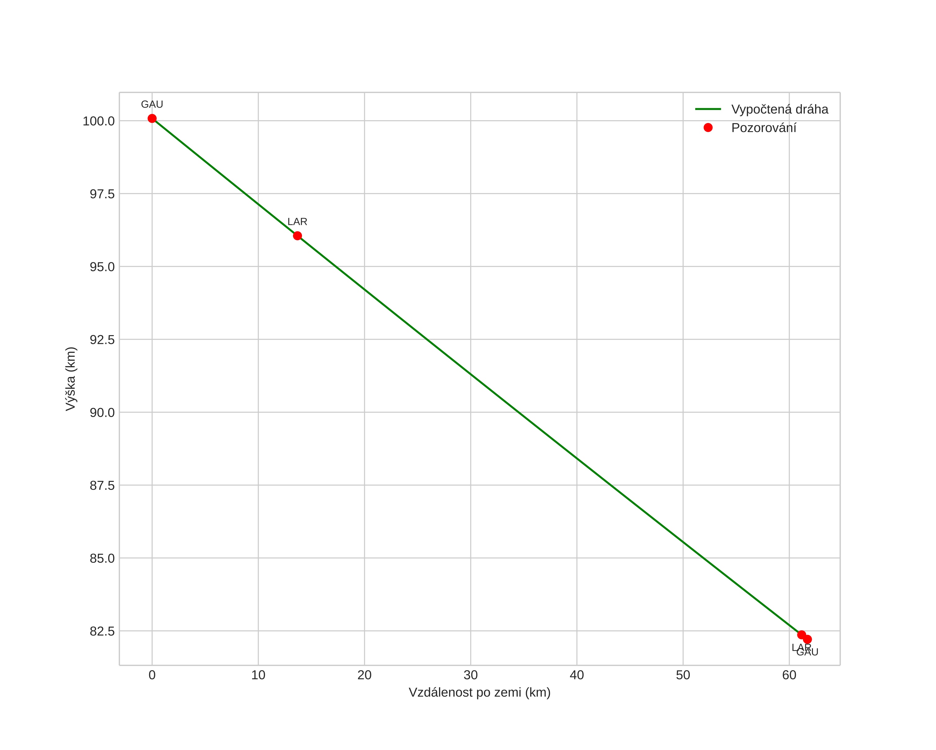
height profile
Atmosférická dráha meteoru:
Počáteční výška: 100,4 km
Konečná výška: 82,4 km
Počáteční poloha: 58,774N 9,996E
Konečná poloha: 59,035N 9,046E
Směr: 298,5°
Sklon: 16,2°
VstupnĂ­ rychlost: 38,3 km/s
Rektascenze radiantu: 01:00 (15,1°)
Deklinace radiantu: -1,7°
MeteorickĂ˝ roj: sporadickĂ˝
Elementy dráhy meteoroidu:
Vzdálenost v periheliu: 0,147 AU
Excentricita: 0,936
Sklon dráhy: 17,6°
Délka vzestupného uzlu: 349,5°
Argument perihelia: 140,0°
Střední anomálie: 349,7°
Epocha: 2023 SEP 12 21:02:38
orbit plot

NeinteraktivnĂ­ graf | InteraktivnĂ­ graf

position vs time
speed and acceleration