🇳🇴 🇬🇧 🇩🇪 🇨🇿 🇫🇮

Meteor, poloha: Hvide Sande 2023-09-12 21:40:35 UTC

Soubor KML  |  InteraktivnĂ­ mapa

Mapa zobrazuje dráhy meteoru. Světlejší čáry ukazují směry od pozorovacích stanic při objevení se meteoru a tmavší čáry, kde byl naposledy viděn. Modrá šipka značí viditelnou dráhu meteoru.

static map
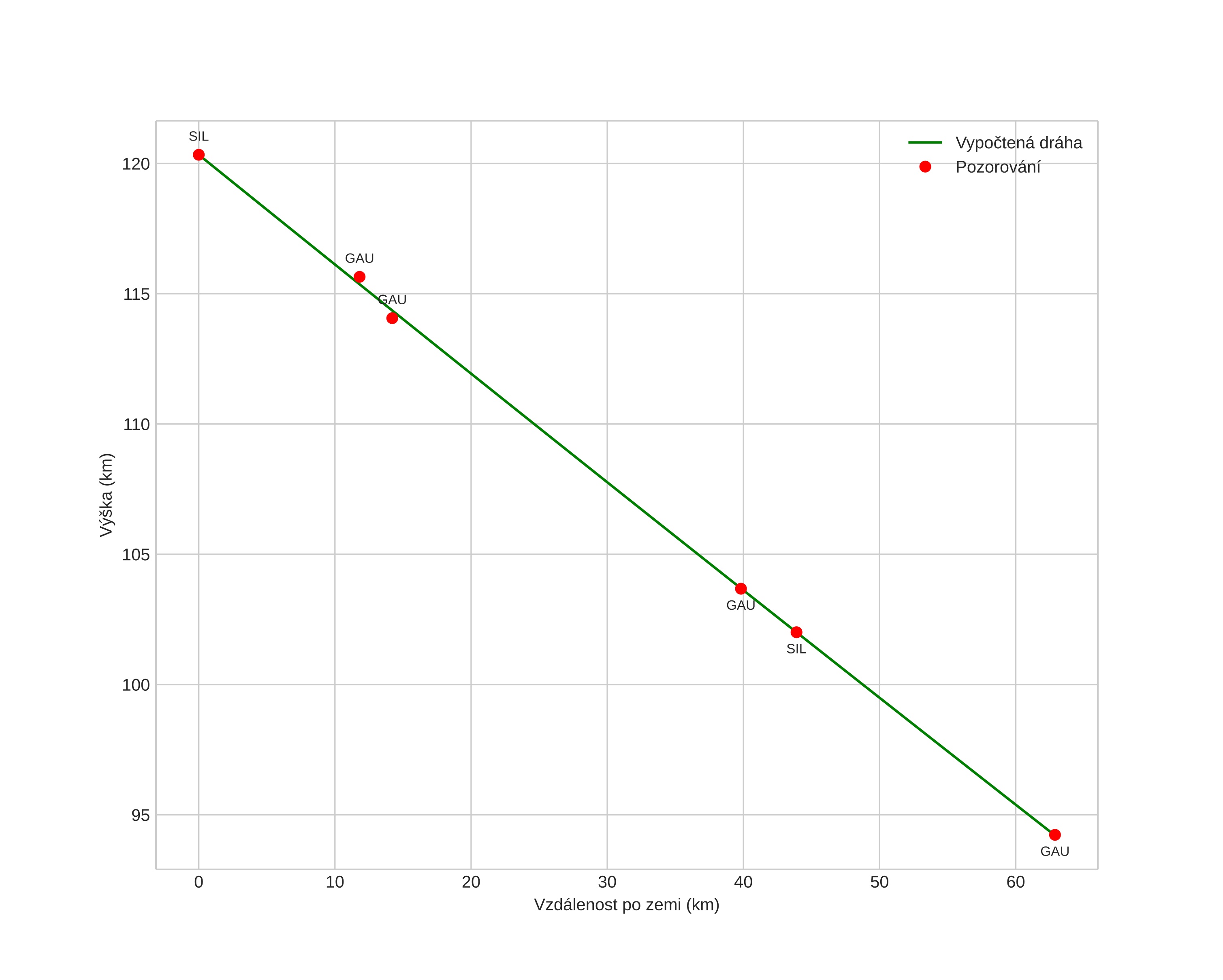
height profile
Atmosférická dráha meteoru:
Počáteční výška: 119,8 km
Konečná výška: 102,0 km
Počáteční poloha: 56,101N 8,416E
Konečná poloha: 55,836N 7,888E
Směr: 228,4°
Sklon: 22,0°
VstupnĂ­ rychlost: 72,6 km/s
Rektascenze radiantu: 05:14 (78,7°)
Deklinace radiantu: 40,5°
MeteorickĂ˝ roj: sporadickĂ˝
Elementy dráhy meteoroidu:
Vzdálenost v periheliu: 1,006 AU
Excentricita: 1,223
Sklon dráhy: 151,0°
Délka vzestupného uzlu: 169,5°
Argument perihelia: 177,0°
Střední anomálie: 0,2°
Epocha: 2023 SEP 12 21:40:35
orbit plot

NeinteraktivnĂ­ graf | InteraktivnĂ­ graf

position vs time
speed and acceleration