🇳🇴 🇬🇧 🇩🇪 🇨🇿 🇫🇮

Meteor, poloha: Risør 2023-10-02 19:02:32 UTC

Soubor KML  |  InteraktivnĂ­ mapa

Mapa zobrazuje dráhy meteoru. Světlejší čáry ukazují směry od pozorovacích stanic při objevení se meteoru a tmavší čáry, kde byl naposledy viděn. Modrá šipka značí viditelnou dráhu meteoru.

static map
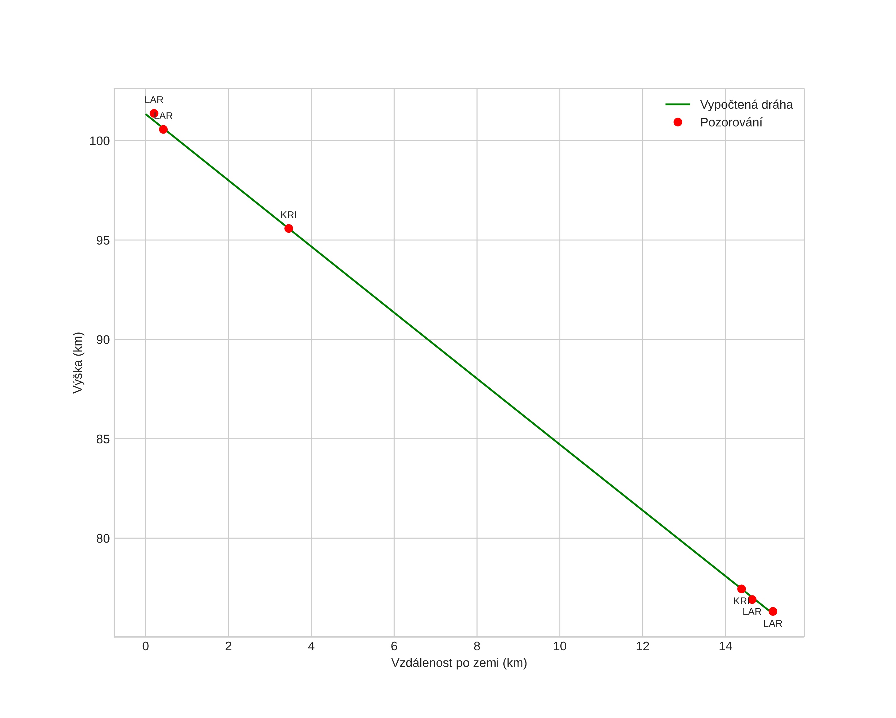
height profile
Atmosférická dráha meteoru:
Počáteční výška: 101,2 km
Konečná výška: 76,9 km
Počáteční poloha: 58,203N 9,330E
Konečná poloha: 58,071N 9,340E
Směr: 177,9°
Sklon: 59,0°
VstupnĂ­ rychlost: 44,8 km/s
Rektascenze radiantu: 15:44 (236,2°)
Deklinace radiantu: 88,6°
MeteorickĂ˝ roj: sporadickĂ˝
Elementy dráhy meteoroidu:
Vzdálenost v periheliu: 0,998 AU
Excentricita: 1,032
Sklon dráhy: 71,6°
Délka vzestupného uzlu: 189,0°
Argument perihelia: 186,6°
Střední anomálie: -0,0°
Epocha: 2023 OCT 02 19:02:32
orbit plot

NeinteraktivnĂ­ graf | InteraktivnĂ­ graf

position vs time
speed and acceleration