🇳🇴 🇬🇧 🇩🇪 🇨🇿 🇫🇮

Meteor, poloha: Risør 2023-10-05 20:39:51 UTC

Soubor KML  |  InteraktivnĂ­ mapa

Mapa zobrazuje dráhy meteoru. Světlejší čáry ukazují směry od pozorovacích stanic při objevení se meteoru a tmavší čáry, kde byl naposledy viděn. Modrá šipka značí viditelnou dráhu meteoru.

static map
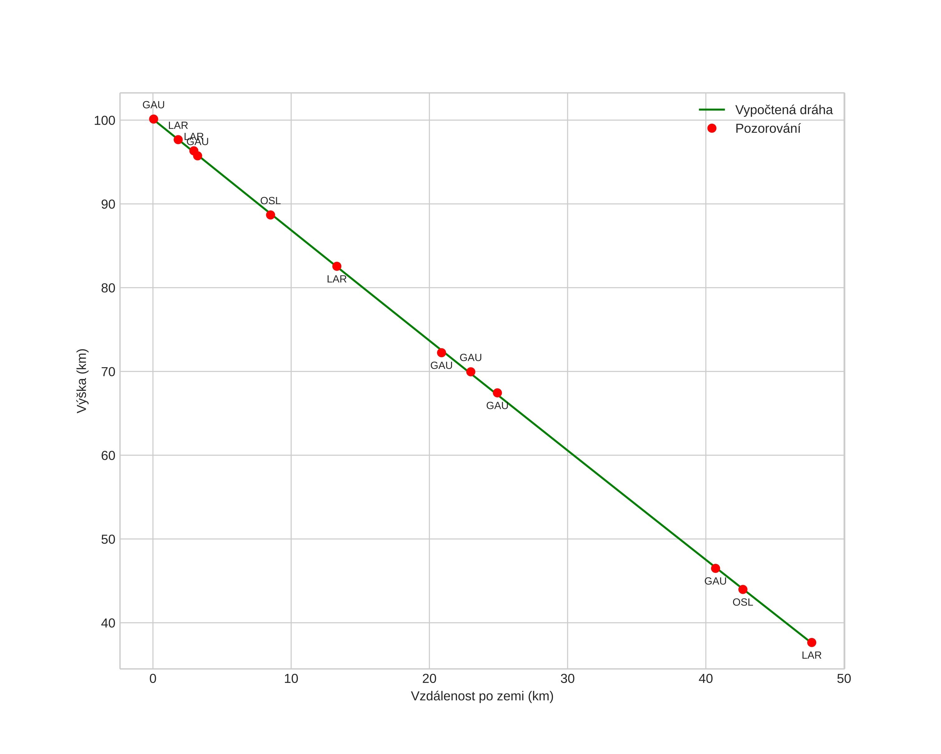
height profile
Atmosférická dráha meteoru:
Počáteční výška: 98,1 km
Konečná výška: 44,0 km
Počáteční poloha: 59,249N 9,273E
Konečná poloha: 58,851N 9,258E
Směr: 181,1°
Sklon: 50,8°
VstupnĂ­ rychlost: 42,1 km/s
Rektascenze radiantu: 10:00 (150,2°)
Deklinace radiantu: 81,0°
MeteorickĂ˝ roj: sporadickĂ˝
Elementy dráhy meteoroidu:
Vzdálenost v periheliu: 0,999 AU
Excentricita: 0,544
Sklon dráhy: 74,1°
Délka vzestupného uzlu: 192,0°
Argument perihelia: 175,7°
Střední anomálie: 1,1°
Epocha: 2023 OCT 05 20:39:51
orbit plot

NeinteraktivnĂ­ graf | InteraktivnĂ­ graf

position vs time
speed and acceleration