🇳🇴 🇬🇧 🇩🇪 🇨🇿 🇫🇮

Meteor, poloha: Vang 2023-10-06 20:02:51 UTC

Soubor KML  |  InteraktivnĂ­ mapa

Mapa zobrazuje dráhy meteoru. Světlejší čáry ukazují směry od pozorovacích stanic při objevení se meteoru a tmavší čáry, kde byl naposledy viděn. Modrá šipka značí viditelnou dráhu meteoru.

static map
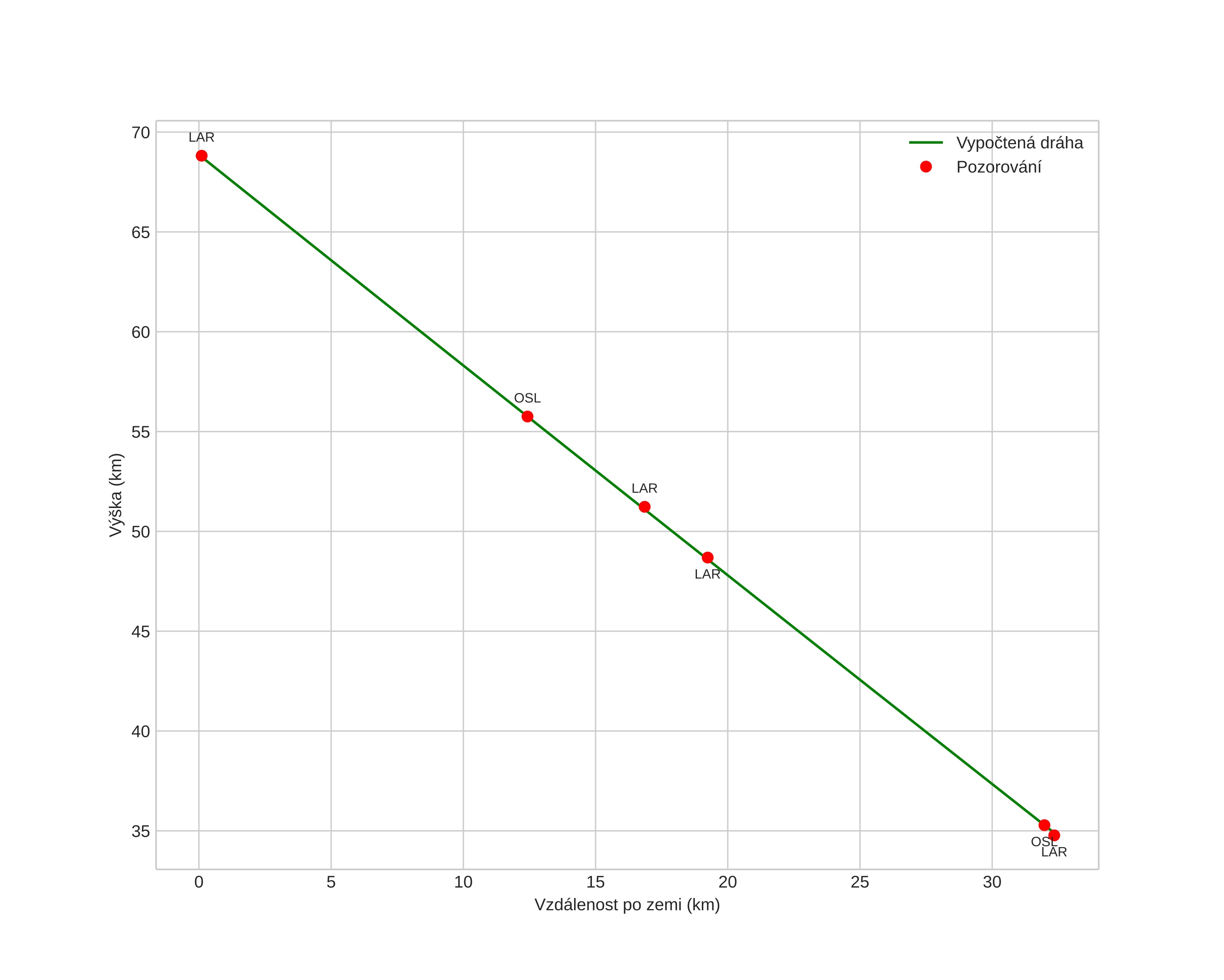
height profile
Atmosférická dráha meteoru:
Počáteční výška: 68,9 km
Konečná výška: 32,0 km
Počáteční poloha: 61,103N 8,971E
Konečná poloha: 61,289N 8,442E
Směr: 306,4°
Sklon: 46,5°
VstupnĂ­ rychlost: 12,1 km/s
Rektascenze radiantu: 00:40 (10,1°)
Deklinace radiantu: 7,6°
MeteorickĂ˝ roj: sporadickĂ˝
Elementy dráhy meteoroidu:
Vzdálenost v periheliu: 0,859 AU
Excentricita: 0,168
Sklon dráhy: 0,4°
Délka vzestupného uzlu: 192,8°
Argument perihelia: 268,9°
Střední anomálie: 290,4°
Epocha: 2023 OCT 06 20:02:51
orbit plot

NeinteraktivnĂ­ graf | InteraktivnĂ­ graf

position vs time
speed and acceleration