🇳🇴 🇬🇧 🇩🇪 🇨🇿 🇫🇮

Meteor, poloha: Rjukan 2023-10-07 04:05:31 UTC

Soubor KML  |  InteraktivnĂ­ mapa

Mapa zobrazuje dráhy meteoru. Světlejší čáry ukazují směry od pozorovacích stanic při objevení se meteoru a tmavší čáry, kde byl naposledy viděn. Modrá šipka značí viditelnou dráhu meteoru.

static map
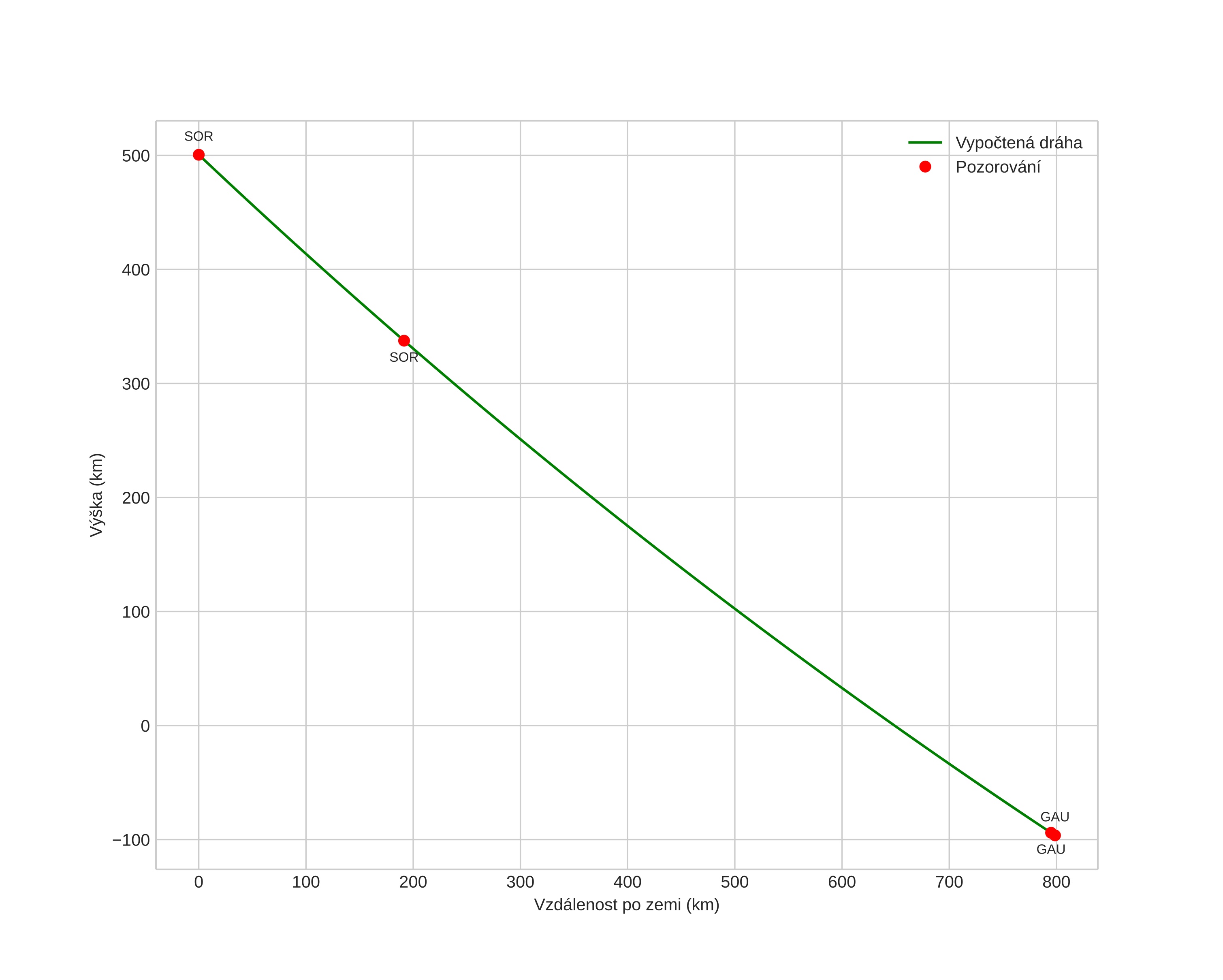
height profile
Atmosférická dráha meteoru:
Počáteční výška: 500,0 km
Konečná výška: -96,3 km
Počáteční poloha: 67,390N 8,063E
Konečná poloha: 60,207N 8,433E
Směr: 178,5°
Sklon: 36,7°
VstupnĂ­ rychlost: 196,2 km/s
Rektascenze radiantu: 17:49 (267,3°)
Deklinace radiantu: 59,3°
MeteorickĂ˝ roj: sporadickĂ˝
Elementy dráhy meteoroidu:
Vzdálenost v periheliu: 0,998 AU
Excentricita: 44,718
Sklon dráhy: 74,9°
Délka vzestupného uzlu: 193,3°
Argument perihelia: 177,1°
Střední anomálie: 122,1°
Epocha: 2023 OCT 07 04:05:31
orbit plot

NeinteraktivnĂ­ graf | InteraktivnĂ­ graf

position vs time
speed and acceleration