🇳🇴 🇬🇧 🇩🇪 🇨🇿 🇫🇮

Meteor, poloha: Kirkebygda 2023-10-07 21:11:03 UTC

Soubor KML  |  InteraktivnĂ­ mapa

Mapa zobrazuje dráhy meteoru. Světlejší čáry ukazují směry od pozorovacích stanic při objevení se meteoru a tmavší čáry, kde byl naposledy viděn. Modrá šipka značí viditelnou dráhu meteoru.

static map
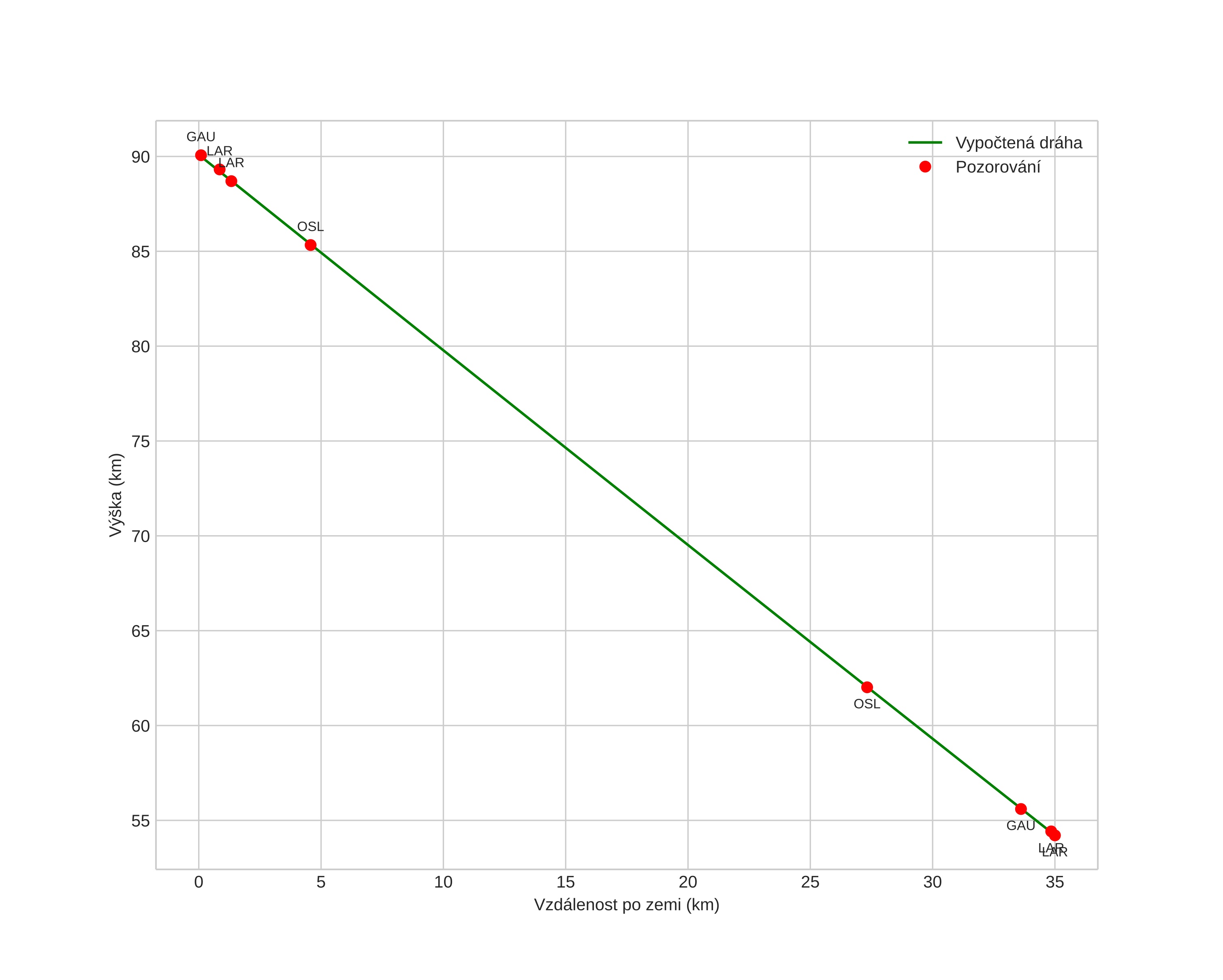
height profile
Atmosférická dráha meteoru:
Počáteční výška: 90,0 km
Konečná výška: 53,8 km
Počáteční poloha: 59,725N 10,320E
Konečná poloha: 59,521N 10,796E
Směr: 130,1°
Sklon: 45,9°
VstupnĂ­ rychlost: 22,5 km/s
Rektascenze radiantu: 16:30 (247,7°)
Deklinace radiantu: 55,0°
MeteorickĂ˝ roj: sporadickĂ˝
Elementy dráhy meteoroidu:
Vzdálenost v periheliu: 0,980 AU
Excentricita: 0,576
Sklon dráhy: 30,7°
Délka vzestupného uzlu: 194,0°
Argument perihelia: 161,3°
Střední anomálie: 4,2°
Epocha: 2023 OCT 07 21:11:03
orbit plot

NeinteraktivnĂ­ graf | InteraktivnĂ­ graf

position vs time
speed and acceleration