🇳🇴 🇬🇧 🇩🇪 🇨🇿 🇫🇮

Meteor, poloha: Stilling 2023-10-07 22:05:20 UTC

Soubor KML  |  InteraktivnĂ­ mapa

Mapa zobrazuje dráhy meteoru. Světlejší čáry ukazují směry od pozorovacích stanic při objevení se meteoru a tmavší čáry, kde byl naposledy viděn. Modrá šipka značí viditelnou dráhu meteoru.

static map
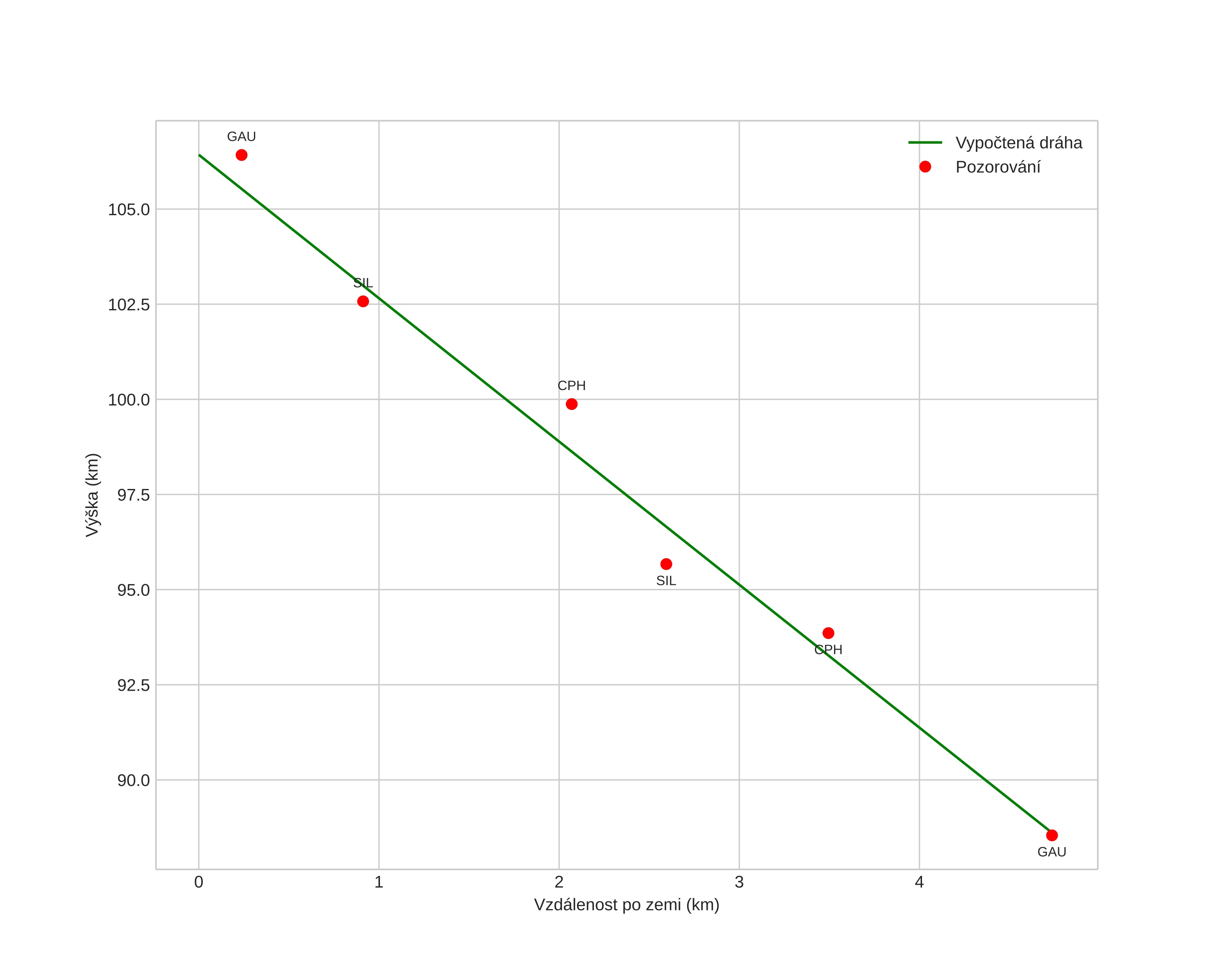
height profile
Atmosférická dráha meteoru:
Počáteční výška: 105,3 km
Konečná výška: 89,0 km
Počáteční poloha: 56,089N 10,011E
Konečná poloha: 56,053N 10,022E
Směr: 170,1°
Sklon: 76,3°
VstupnĂ­ rychlost: 35,4 km/s
Rektascenze radiantu: 23:16 (349,2°)
Deklinace radiantu: 69,4°
MeteorickĂ˝ roj: sporadickĂ˝
Elementy dráhy meteoroidu:
Vzdálenost v periheliu: 0,858 AU
Excentricita: 0,825
Sklon dráhy: 53,0°
Délka vzestupného uzlu: 194,1°
Argument perihelia: 226,7°
Střední anomálie: 357,2°
Epocha: 2023 OCT 07 22:05:20
orbit plot

NeinteraktivnĂ­ graf | InteraktivnĂ­ graf

position vs time
speed and acceleration