🇳🇴 🇬🇧 🇩🇪 🇨🇿 🇫🇮

Meteor, poloha: Tonstad 2023-10-08 03:02:45 UTC

Soubor KML  |  InteraktivnĂ­ mapa

Mapa zobrazuje dráhy meteoru. Světlejší čáry ukazují směry od pozorovacích stanic při objevení se meteoru a tmavší čáry, kde byl naposledy viděn. Modrá šipka značí viditelnou dráhu meteoru.

static map
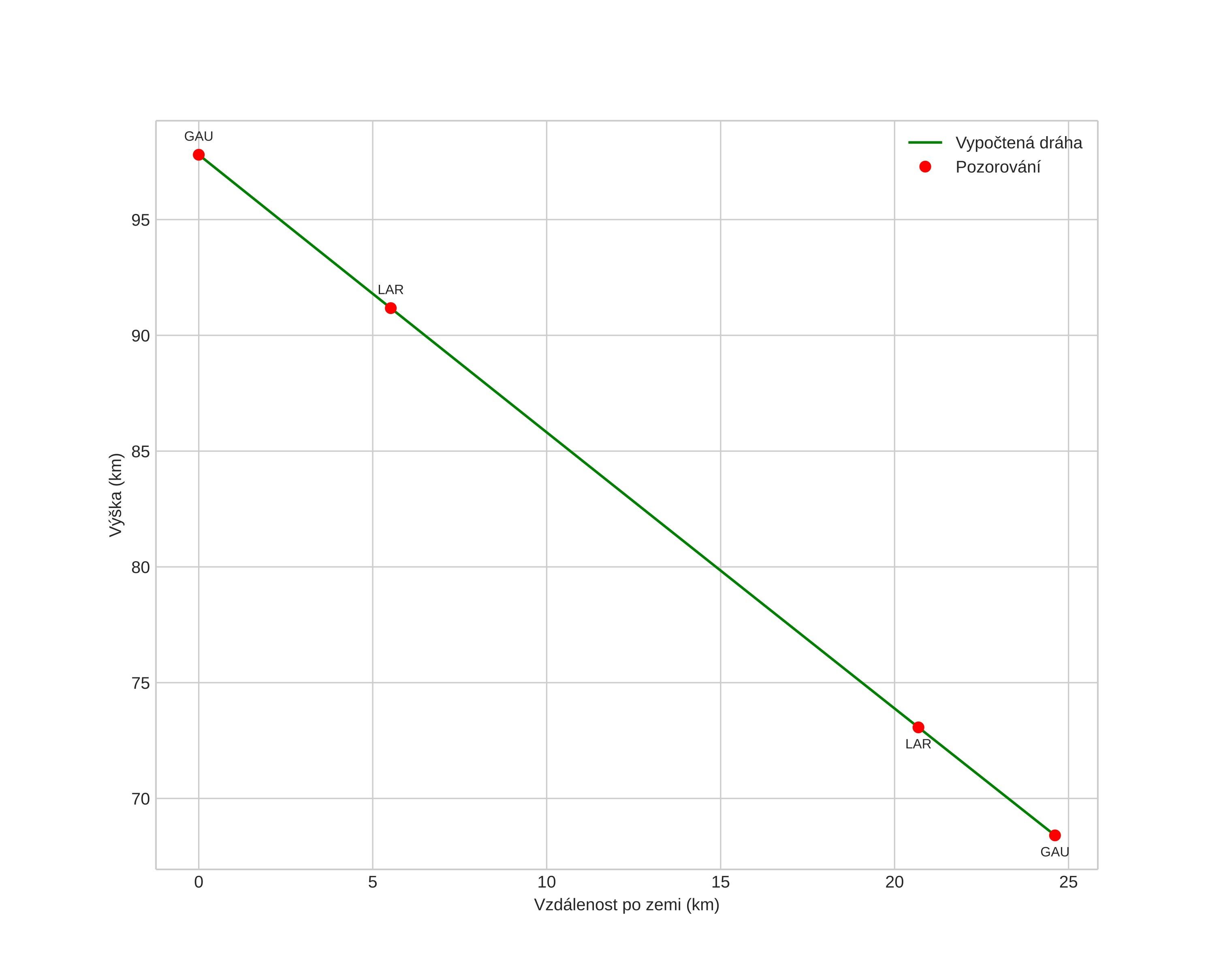
height profile
Atmosférická dráha meteoru:
Počáteční výška: 92,7 km
Konečná výška: 73,8 km
Počáteční poloha: 58,766N 6,613E
Konečná poloha: 58,626N 6,588E
Směr: 185,3°
Sklon: 50,5°
VstupnĂ­ rychlost: 37,1 km/s
Rektascenze radiantu: 15:21 (230,4°)
Deklinace radiantu: 80,6°
MeteorickĂ˝ roj: sporadickĂ˝
Elementy dráhy meteoroidu:
Vzdálenost v periheliu: 0,999 AU
Excentricita: 0,711
Sklon dráhy: 60,1°
Délka vzestupného uzlu: 194,3°
Argument perihelia: 177,5°
Střední anomálie: 0,3°
Epocha: 2023 OCT 08 03:02:45
orbit plot

NeinteraktivnĂ­ graf | InteraktivnĂ­ graf

position vs time
speed and acceleration