🇳🇴 🇬🇧 🇩🇪 🇨🇿 🇫🇮

Meteor, poloha: Sand 2023-10-10 00:24:41 UTC

Soubor KML  |  InteraktivnĂ­ mapa

Mapa zobrazuje dráhy meteoru. Světlejší čáry ukazují směry od pozorovacích stanic při objevení se meteoru a tmavší čáry, kde byl naposledy viděn. Modrá šipka značí viditelnou dráhu meteoru.

static map
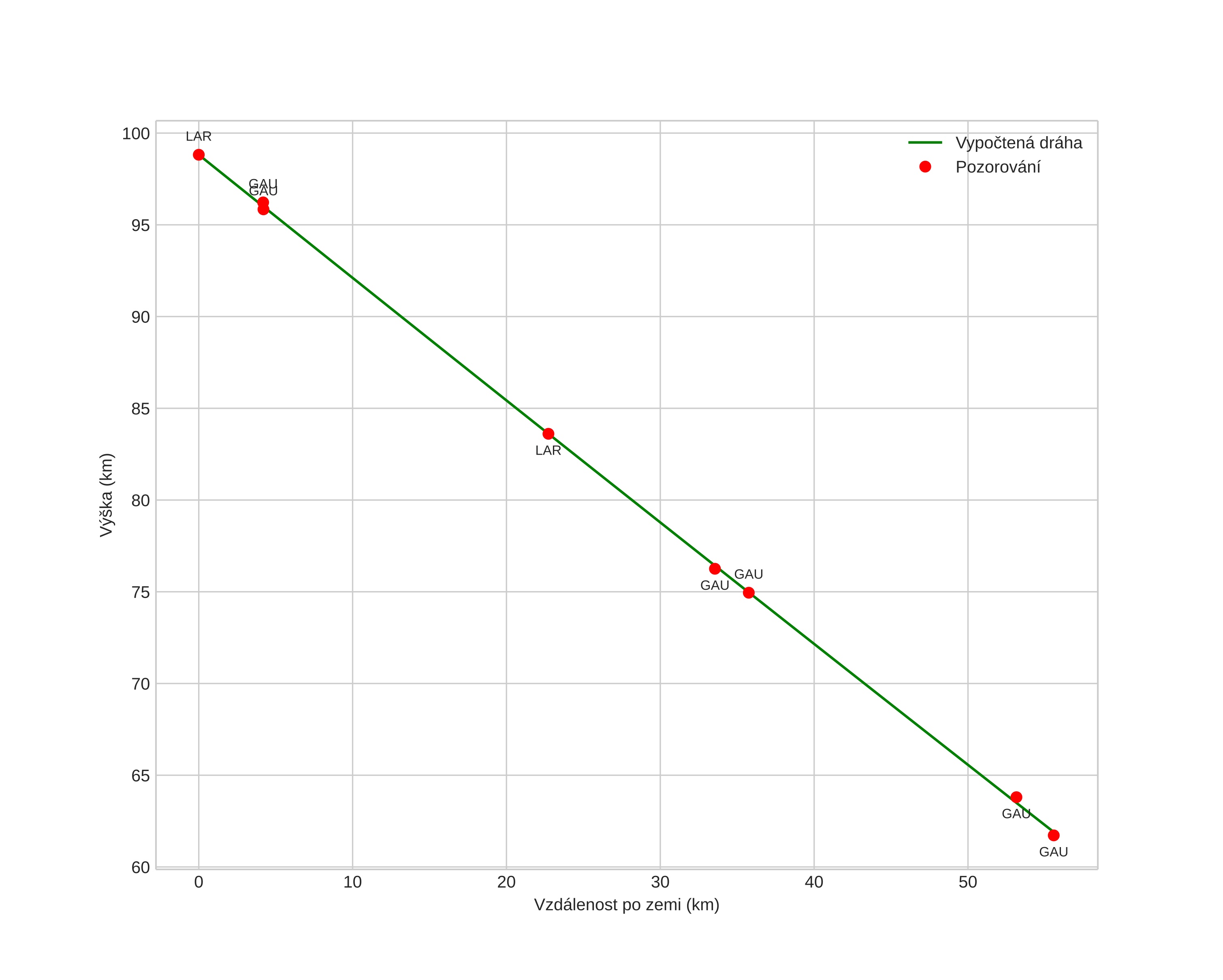
height profile
Atmosférická dráha meteoru:
Počáteční výška: 98,7 km
Konečná výška: 61,9 km
Počáteční poloha: 60,067N 11,307E
Konečná poloha: 60,559N 11,472E
Směr: 9,4°
Sklon: 33,6°
VstupnĂ­ rychlost: 30,8 km/s
Rektascenze radiantu: 01:48 (27,1°)
Deklinace radiantu: 1,7°
MeteorickĂ˝ roj: JiĹľnĂ­ Tauridy
Elementy dráhy meteoroidu:
Vzdálenost v periheliu: 0,392 AU
Excentricita: 0,861
Sklon dráhy: 10,0°
Délka vzestupného uzlu: 16,1°
Argument perihelia: 108,3°
Střední anomálie: 351,2°
Epocha: 2023 OCT 10 00:24:41
orbit plot

NeinteraktivnĂ­ graf | InteraktivnĂ­ graf

position vs time
speed and acceleration