🇳🇴 🇬🇧 🇩🇪 🇨🇿 🇫🇮

Meteor, poloha: Geilo 2023-10-10 02:48:59 UTC

Soubor KML  |  Interaktivní mapa

Mapa zobrazuje dráhy meteoru. Světlejší čáry ukazují směry od pozorovacích stanic při objevení se meteoru a tmavší čáry, kde byl naposledy viděn. Modrá šipka značí viditelnou dráhu meteoru.

static map
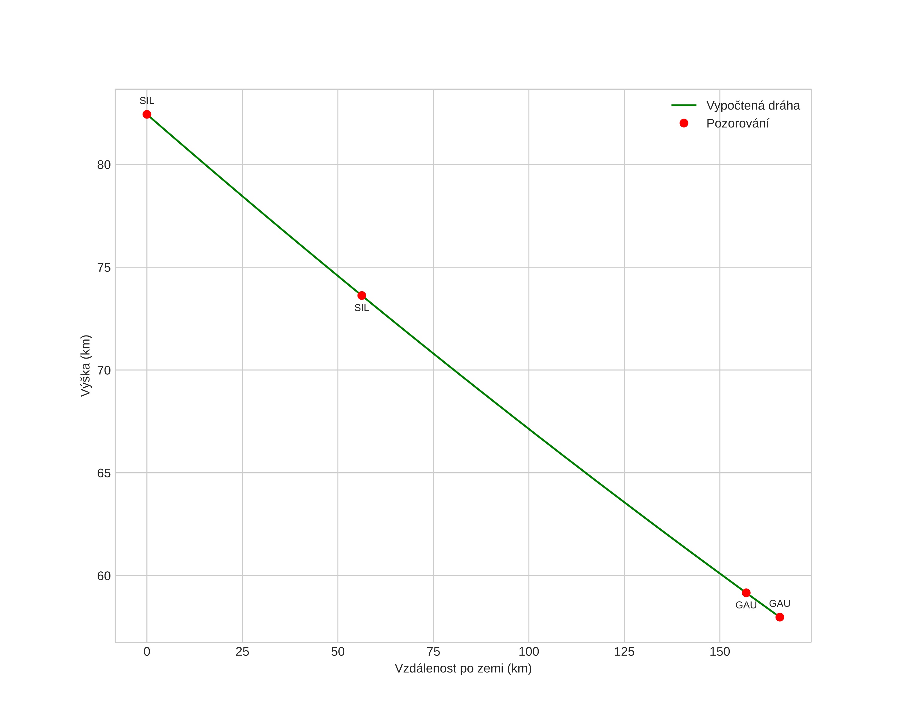
height profile
Atmosférická dráha meteoru:
Počáteční výška: 82,4 km
Konečná výška: 58,0 km
Počáteční poloha: 61,503N 9,644E
Konečná poloha: 60,224N 8,080E
Směr: 211,4°
Sklon: 8,4°
position vs time
speed and acceleration