🇳🇴 🇬🇧 🇩🇪 🇨🇿 🇫🇮

Meteor, poloha: Nesbyen 2023-10-10 03:34:32 UTC

Soubor KML  |  InteraktivnĂ­ mapa

Mapa zobrazuje dráhy meteoru. Světlejší čáry ukazují směry od pozorovacích stanic při objevení se meteoru a tmavší čáry, kde byl naposledy viděn. Modrá šipka značí viditelnou dráhu meteoru.

static map
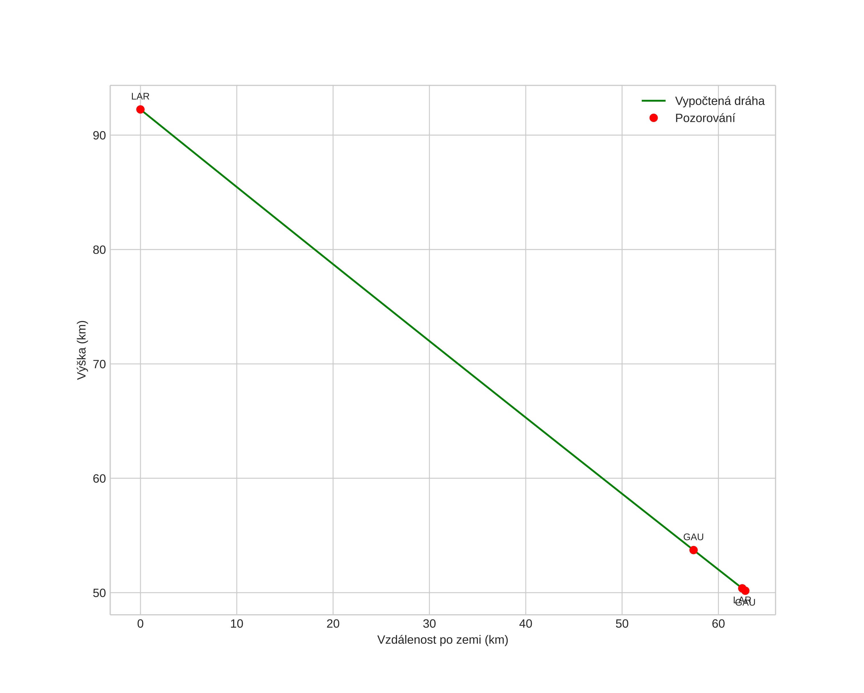
height profile
Atmosférická dráha meteoru:
Počáteční výška: 92,0 km
Konečná výška: 50,2 km
Počáteční poloha: 60,266N 8,153E
Konečná poloha: 60,442N 9,246E
Směr: 71,6°
Sklon: 33,5°
VstupnĂ­ rychlost: 26,8 km/s
Rektascenze radiantu: 01:22 (20,6°)
Deklinace radiantu: 17,6°
MeteorickĂ˝ roj: sporadickĂ˝
Elementy dráhy meteoroidu:
Vzdálenost v periheliu: 0,437 AU
Excentricita: 0,756
Sklon dráhy: 7,7°
Délka vzestupného uzlu: 196,2°
Argument perihelia: 287,9°
Střední anomálie: 340,9°
Epocha: 2023 OCT 10 03:34:32
orbit plot

NeinteraktivnĂ­ graf | InteraktivnĂ­ graf

position vs time
speed and acceleration