🇳🇴 🇬🇧 🇩🇪 🇨🇿 🇫🇮

Meteor, poloha: Utsira 2023-10-11 22:24:33 UTC

Soubor KML  |  InteraktivnĂ­ mapa

Mapa zobrazuje dráhy meteoru. Světlejší čáry ukazují směry od pozorovacích stanic při objevení se meteoru a tmavší čáry, kde byl naposledy viděn. Modrá šipka značí viditelnou dráhu meteoru.

static map
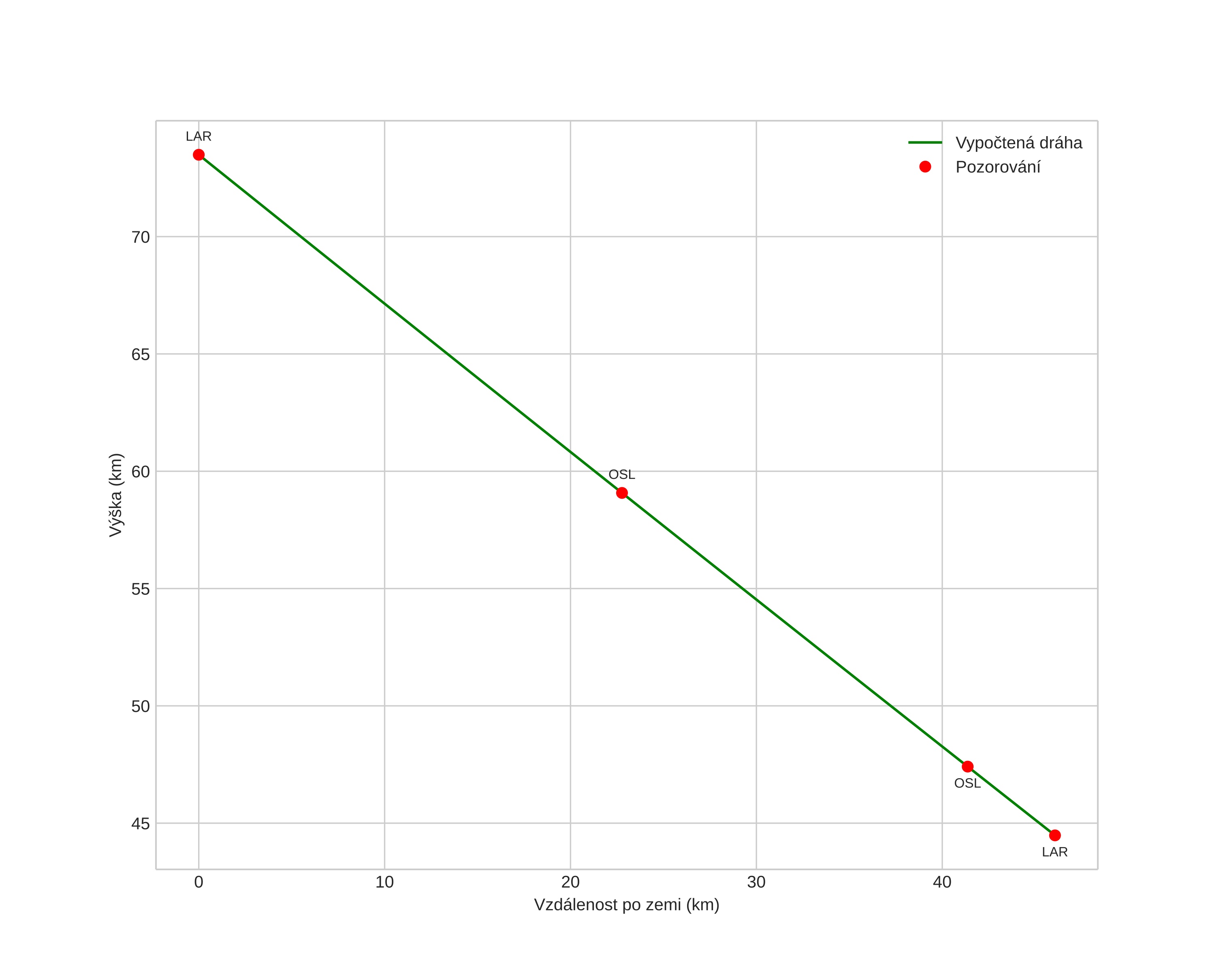
height profile
Atmosférická dráha meteoru:
Počáteční výška: 73,0 km
Konečná výška: 44,1 km
Počáteční poloha: 57,390N 4,040E
Konečná poloha: 57,799N 3,919E
Směr: 351,0°
Sklon: 32,1°
VstupnĂ­ rychlost: 18,8 km/s
Rektascenze radiantu: 00:29 (7,4°)
Deklinace radiantu: -7,1°
MeteorickĂ˝ roj: sporadickĂ˝
Elementy dráhy meteoroidu:
Vzdálenost v periheliu: 0,778 AU
Excentricita: 0,625
Sklon dráhy: 4,2°
Délka vzestupného uzlu: 18,0°
Argument perihelia: 64,7°
Střední anomálie: 346,1°
Epocha: 2023 OCT 11 22:24:33
orbit plot

NeinteraktivnĂ­ graf | InteraktivnĂ­ graf

position vs time
speed and acceleration