🇳🇴 🇬🇧 🇩🇪 🇨🇿 🇫🇮

Meteor, poloha: Hopen 2023-10-18 21:16:11 UTC

Soubor KML  |  InteraktivnĂ­ mapa

Mapa zobrazuje dráhy meteoru. Světlejší čáry ukazují směry od pozorovacích stanic při objevení se meteoru a tmavší čáry, kde byl naposledy viděn. Modrá šipka značí viditelnou dráhu meteoru.

static map
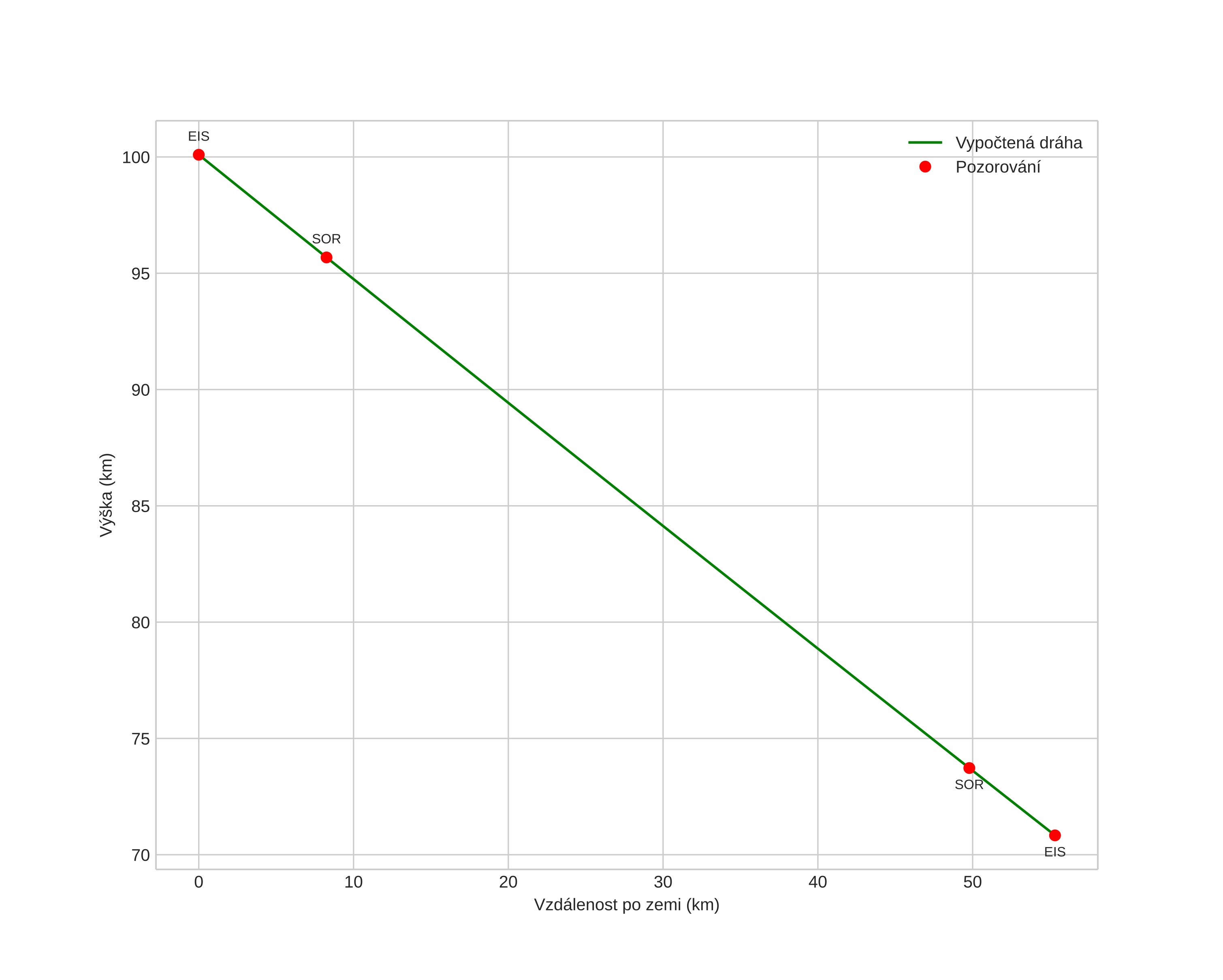
height profile
Atmosférická dráha meteoru:
Počáteční výška: 126,4 km
Konečná výška: 80,3 km
Počáteční poloha: 66,080N 6,686E
Konečná poloha: 66,714N 6,389E
Směr: 349,5°
Sklon: 32,7°
VstupnĂ­ rychlost: 46,0 km/s
Rektascenze radiantu: 00:04 (1,2°)
Deklinace radiantu: 8,0°
MeteorickĂ˝ roj: sporadickĂ˝
Elementy dráhy meteoroidu:
Vzdálenost v periheliu: 0,661 AU
Excentricita: 2,551
Sklon dráhy: 6,7°
Délka vzestupného uzlu: 204,9°
Argument perihelia: 237,9°
Střední anomálie: -79,3°
Epocha: 2023 OCT 18 21:16:11
orbit plot

NeinteraktivnĂ­ graf | InteraktivnĂ­ graf

position vs time
speed and acceleration