🇳🇴 🇬🇧 🇩🇪 🇨🇿 🇫🇮

Meteor, poloha: Rjukan 2023-10-23 19:53:30 UTC

Soubor KML  |  Interaktivní mapa

Mapa zobrazuje dráhy meteoru. Světlejší čáry ukazují směry od pozorovacích stanic při objevení se meteoru a tmavší čáry, kde byl naposledy viděn. Modrá šipka značí viditelnou dráhu meteoru.

static map
height profile
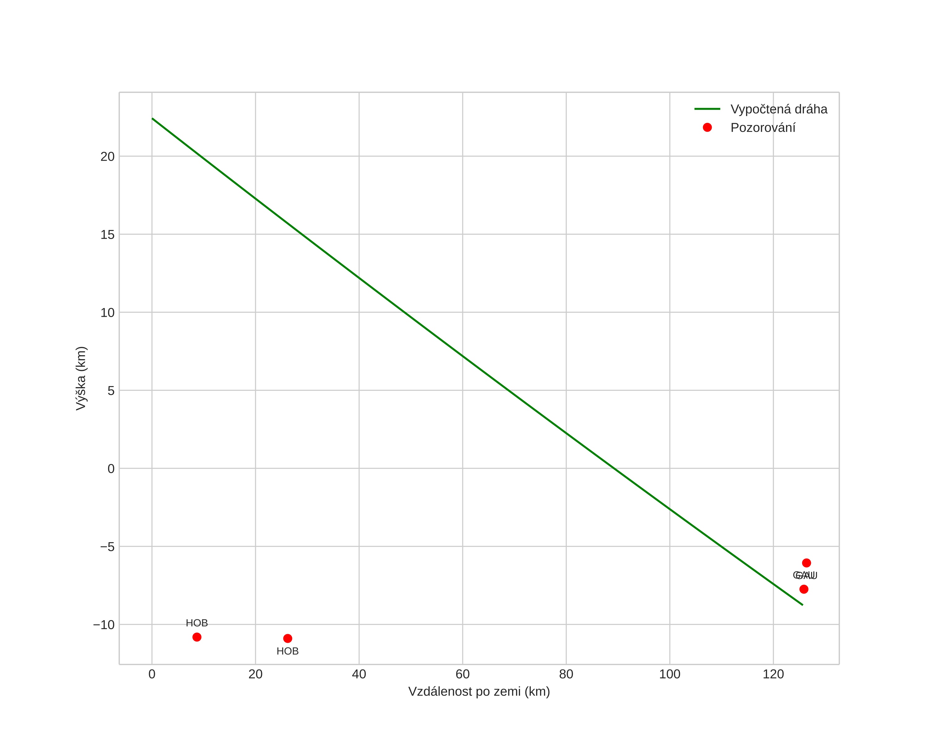
Atmosférická dráha meteoru:
Počáteční výška: 22,8 km
Konečná výška: -9,1 km
Počáteční poloha: 59,096N 7,102E
Konečná poloha: 59,885N 8,695E
Směr: 45,0°
Sklon: 14,2°
Vstupní rychlost: 0,0 km/s
position vs time
speed and acceleration