🇳🇴 🇬🇧 🇩🇪 🇨🇿 🇫🇮

Meteor, poloha: Finnsnes 2023-10-30 15:13:30 UTC

Soubor KML  |  InteraktivnĂ­ mapa

Mapa zobrazuje dráhy meteoru. Světlejší čáry ukazují směry od pozorovacích stanic při objevení se meteoru a tmavší čáry, kde byl naposledy viděn. Modrá šipka značí viditelnou dráhu meteoru.

static map
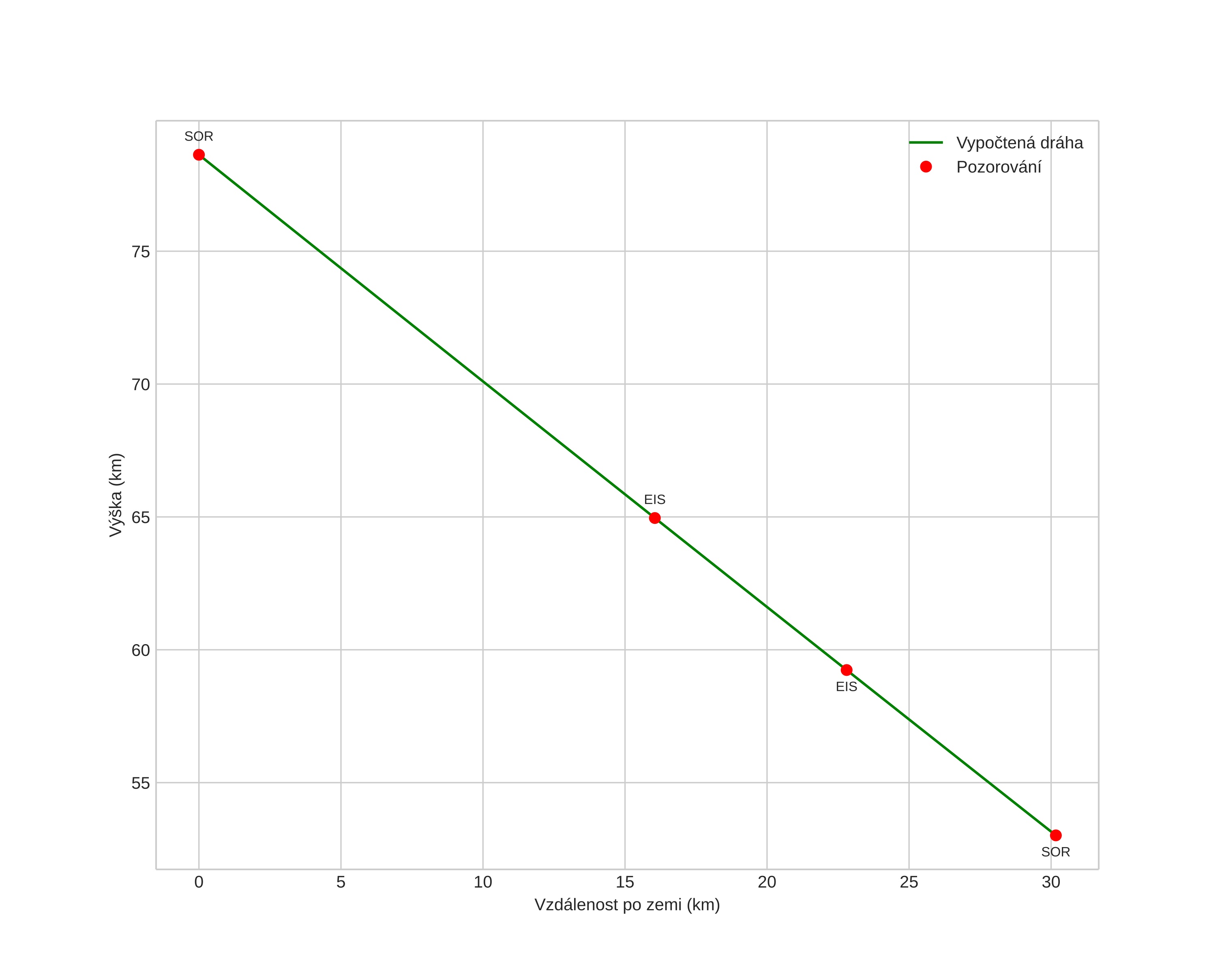
height profile
Atmosférická dráha meteoru:
Počáteční výška: 78,6 km
Konečná výška: 53,0 km
Počáteční poloha: 70,244N 18,180E
Konečná poloha: 70,201N 17,388E
Směr: 261,2°
Sklon: 40,3°
VstupnĂ­ rychlost: 20,6 km/s
Rektascenze radiantu: 00:35 (8,9°)
Deklinace radiantu: 36,4°
MeteorickĂ˝ roj: sporadickĂ˝
Elementy dráhy meteoroidu:
Vzdálenost v periheliu: 0,790 AU
Excentricita: 0,661
Sklon dráhy: 14,3°
Délka vzestupného uzlu: 216,6°
Argument perihelia: 240,9°
Střední anomálie: 349,0°
Epocha: 2023 OCT 30 15:13:30
orbit plot

NeinteraktivnĂ­ graf | InteraktivnĂ­ graf

position vs time
speed and acceleration