🇳🇴 🇬🇧 🇩🇪 🇨🇿 🇫🇮

Meteor, poloha: Vardø 2023-11-09 16:34:39 UTC

Soubor KML

Mapa zobrazuje dráhy meteoru. Světlejší čáry ukazují směry od pozorovacích stanic při objevení se meteoru a tmavší čáry, kde byl naposledy viděn. Modrá šipka značí viditelnou dráhu meteoru.

static map
height profile
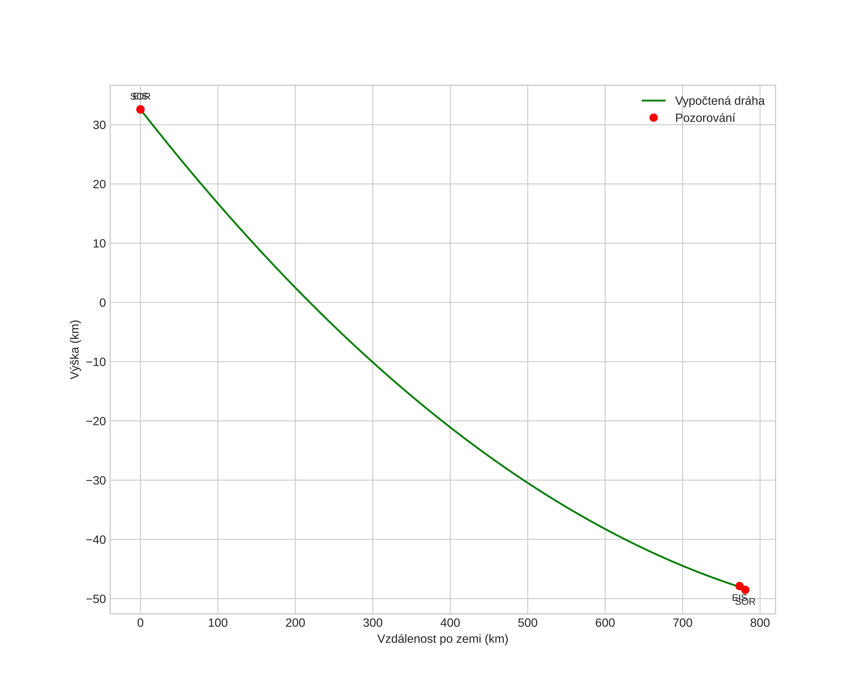
Atmosférická dráha meteoru:
Počáteční výška: 32,6 km
Konečná výška: -48,3 km
Počáteční poloha: 68,402N 16,774E
Konečná poloha: 73,546N 31,611E
Směr: 36,4°
Sklon: 5,9°
VstupnĂ­ rychlost: 68,9 km/s
Rektascenze radiantu: 18:25 (276,3°)
Deklinace radiantu: -12,1°
MeteorickĂ˝ roj: sporadickĂ˝
Elementy dráhy meteoroidu:
Vzdálenost v periheliu: 0,865 AU
Excentricita: 7,606
Sklon dráhy: 9,2°
Délka vzestupného uzlu: 226,7°
Argument perihelia: 148,9°
Střední anomálie: 197,2°
Epocha: 2023 NOV 09 16:34:39
orbit plot

NeinteraktivnĂ­ graf

position vs time
speed and acceleration