🇳🇴 🇬🇧 🇩🇪 🇨🇿 🇫🇮

Meteor, poloha: Arendal 2023-11-09 20:15:56 UTC

Soubor KML  |  InteraktivnĂ­ mapa

Mapa zobrazuje dráhy meteoru. Světlejší čáry ukazují směry od pozorovacích stanic při objevení se meteoru a tmavší čáry, kde byl naposledy viděn. Modrá šipka značí viditelnou dráhu meteoru.

static map
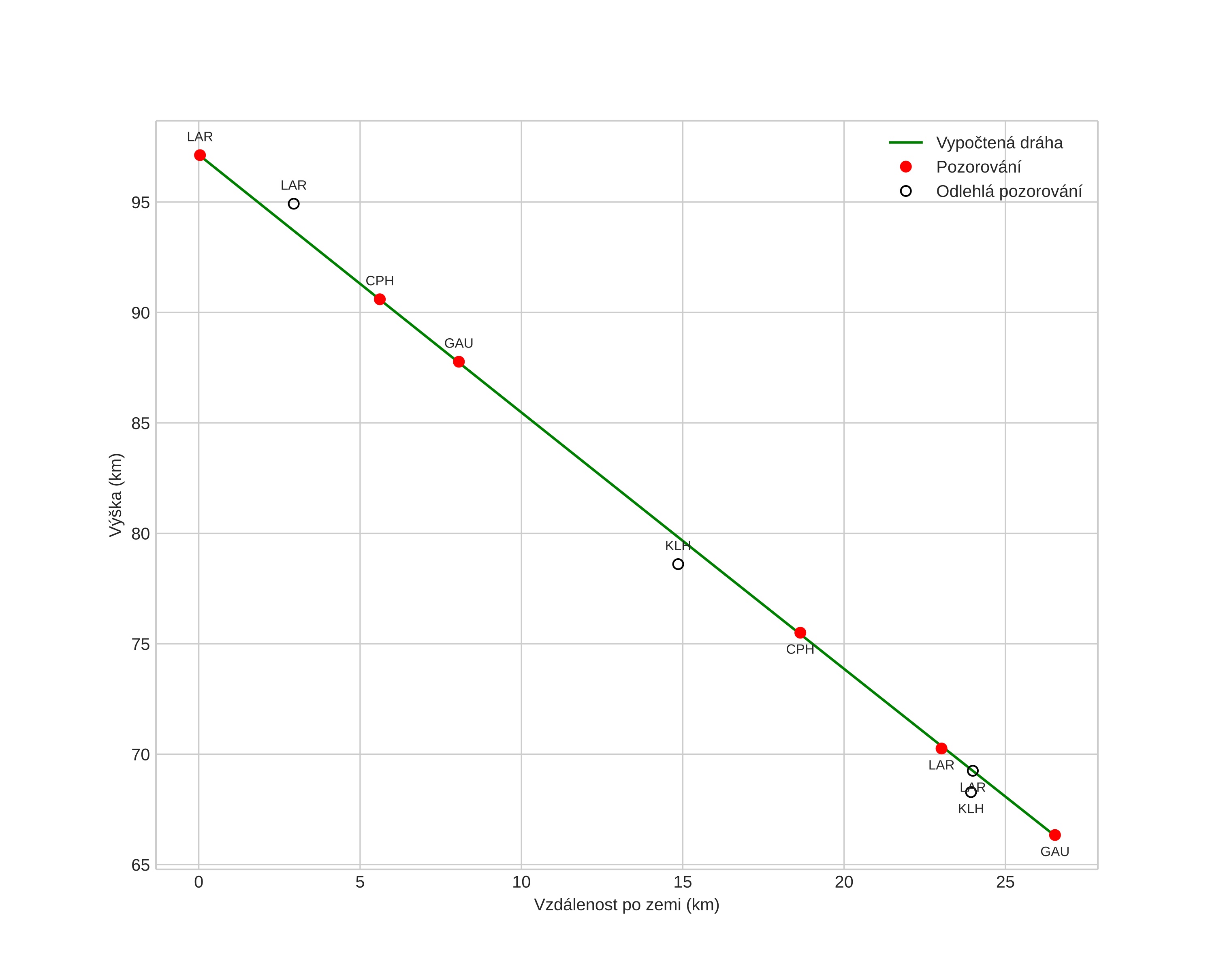
height profile
Atmosférická dráha meteoru:
Počáteční výška: 96,2 km
Konečná výška: 65,4 km
Počáteční poloha: 58,202N 8,976E
Konečná poloha: 58,008N 9,121E
Směr: 158,4°
Sklon: 53,0°
VstupnĂ­ rychlost: 36,8 km/s
Rektascenze radiantu: 17:02 (255,6°)
Deklinace radiantu: 76,0°
MeteorickĂ˝ roj: sporadickĂ˝
Elementy dráhy meteoroidu:
Vzdálenost v periheliu: 0,984 AU
Excentricita: 1,009
Sklon dráhy: 54,7°
Délka vzestupného uzlu: 226,8°
Argument perihelia: 189,0°
Střední anomálie: -0,0°
Epocha: 2023 NOV 09 20:15:56
orbit plot

NeinteraktivnĂ­ graf | InteraktivnĂ­ graf

position vs time
speed and acceleration