🇳🇴 🇬🇧 🇩🇪 🇨🇿 🇫🇮

Meteor, poloha: Lesja 2023-11-10 04:54:18 UTC

Soubor KML  |  InteraktivnĂ­ mapa

Mapa zobrazuje dráhy meteoru. Světlejší čáry ukazují směry od pozorovacích stanic při objevení se meteoru a tmavší čáry, kde byl naposledy viděn. Modrá šipka značí viditelnou dráhu meteoru.

static map
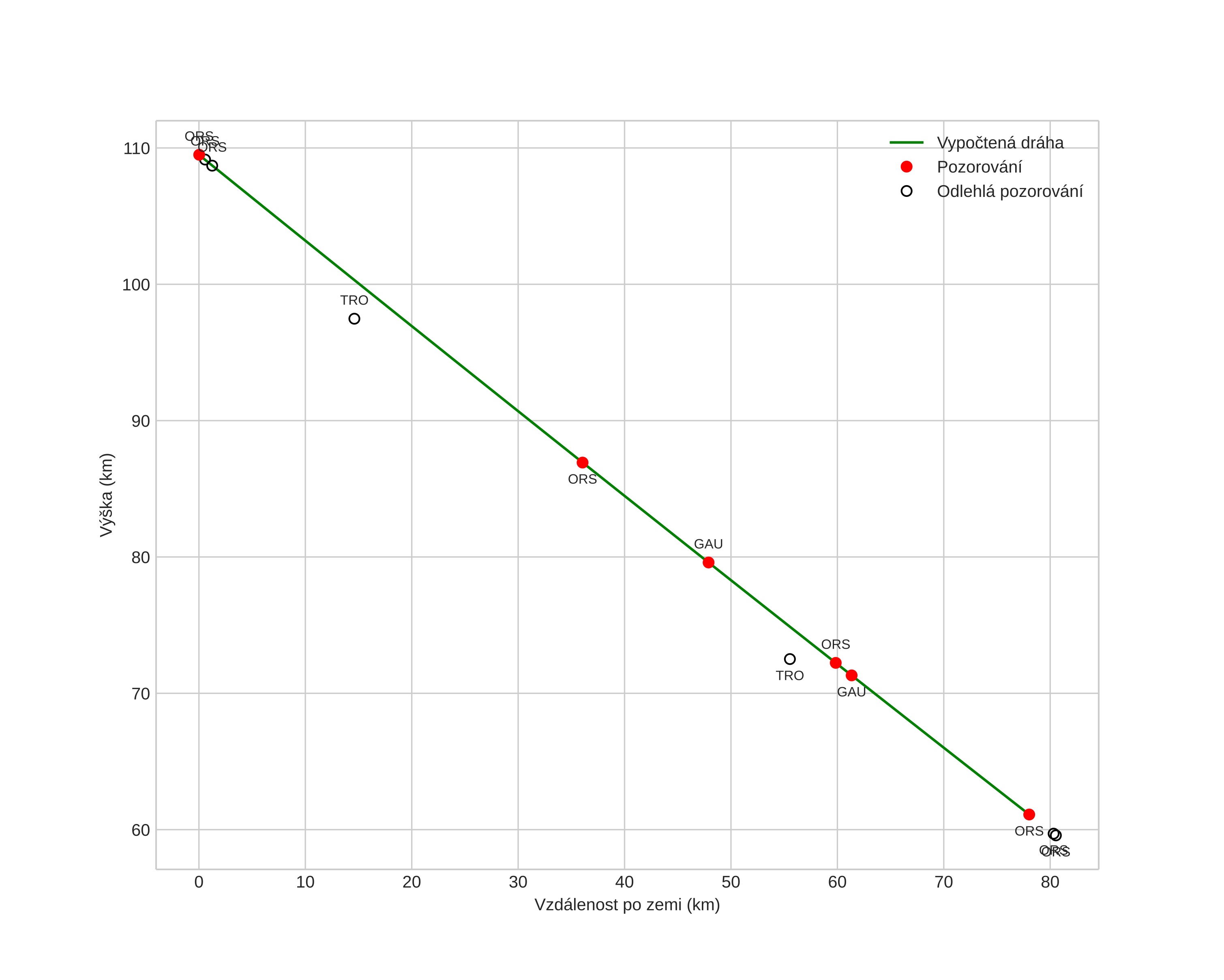
height profile
Atmosférická dráha meteoru:
Počáteční výška: 109,5 km
Konečná výška: 61,1 km
Počáteční poloha: 62,357N 7,527E
Konečná poloha: 62,391N 9,038E
Směr: 86,5°
Sklon: 31,8°
VstupnĂ­ rychlost: 32,6 km/s
Rektascenze radiantu: 03:50 (57,5°)
Deklinace radiantu: 24,4°
MeteorickĂ˝ roj: SevernĂ­ Tauridy
Elementy dráhy meteoroidu:
Vzdálenost v periheliu: 0,312 AU
Excentricita: 0,881
Sklon dráhy: 5,6°
Délka vzestupného uzlu: 227,2°
Argument perihelia: 297,6°
Střední anomálie: 350,7°
Epocha: 2023 NOV 10 04:54:18
orbit plot

NeinteraktivnĂ­ graf | InteraktivnĂ­ graf

position vs time
speed and acceleration

Gaustatoppen (GAU) cam2


gnomonic
Videa
• Gnomonická
• Gnomonická se souřadnicemi
• Původní
• Původní se souřadnicemi
Obrázky
• Gnomonická
• Gnomonická se souřadnicemi
• Gnomonická s popisky
• Původní
• Původní se souřadnicemi
Textové soubory
• Detekce
• Pozorování
• Souřadnice
• Protokol
Jasnost