🇳🇴 🇬🇧 🇩🇪 🇨🇿 🇫🇮

Meteor, poloha: Ramberg 2023-11-12 21:51:40 UTC

Soubor KML  |  InteraktivnĂ­ mapa

Mapa zobrazuje dráhy meteoru. Světlejší čáry ukazují směry od pozorovacích stanic při objevení se meteoru a tmavší čáry, kde byl naposledy viděn. Modrá šipka značí viditelnou dráhu meteoru.

static map
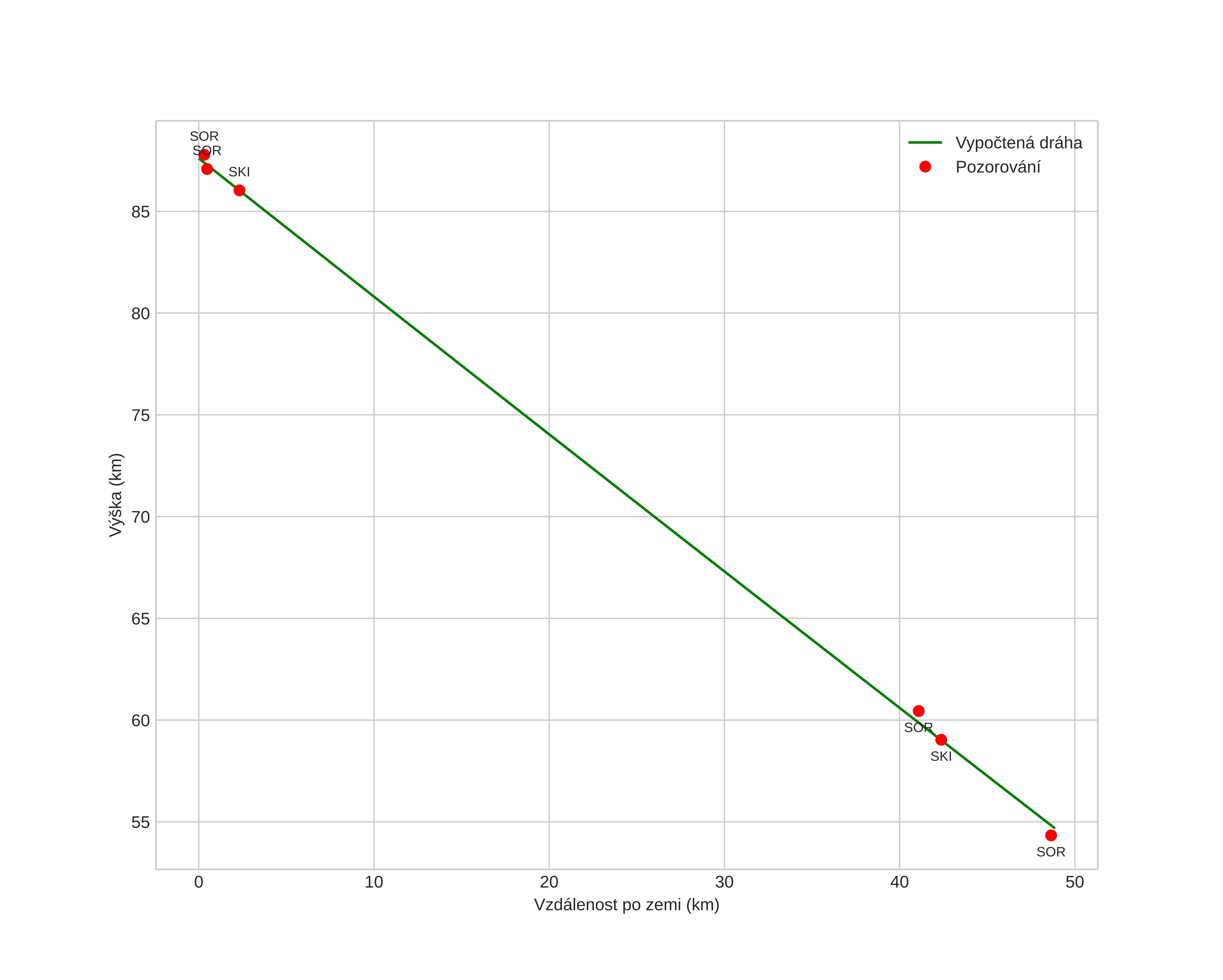
height profile
Atmosférická dráha meteoru:
Počáteční výška: 87,6 km
Konečná výška: 54,3 km
Počáteční poloha: 69,984N 12,976E
Konečná poloha: 70,354N 12,288E
Směr: 328,1°
Sklon: 34,4°
VstupnĂ­ rychlost: 29,0 km/s
Rektascenze radiantu: 03:57 (59,5°)
Deklinace radiantu: 14,5°
MeteorickĂ˝ roj: JiĹľnĂ­ Tauridy
Elementy dráhy meteoroidu:
Vzdálenost v periheliu: 0,396 AU
Excentricita: 0,803
Sklon dráhy: 6,2°
Délka vzestupného uzlu: 49,9°
Argument perihelia: 110,3°
Střední anomálie: 344,9°
Epocha: 2023 NOV 12 21:51:40
orbit plot

NeinteraktivnĂ­ graf | InteraktivnĂ­ graf

position vs time
speed and acceleration