🇳🇴 🇬🇧 🇩🇪 🇨🇿 🇫🇮

Meteor, poloha: Skjervøy 2023-11-12 22:20:19 UTC

Soubor KML  |  InteraktivnĂ­ mapa

Mapa zobrazuje dráhy meteoru. Světlejší čáry ukazují směry od pozorovacích stanic při objevení se meteoru a tmavší čáry, kde byl naposledy viděn. Modrá šipka značí viditelnou dráhu meteoru.

static map
height profile
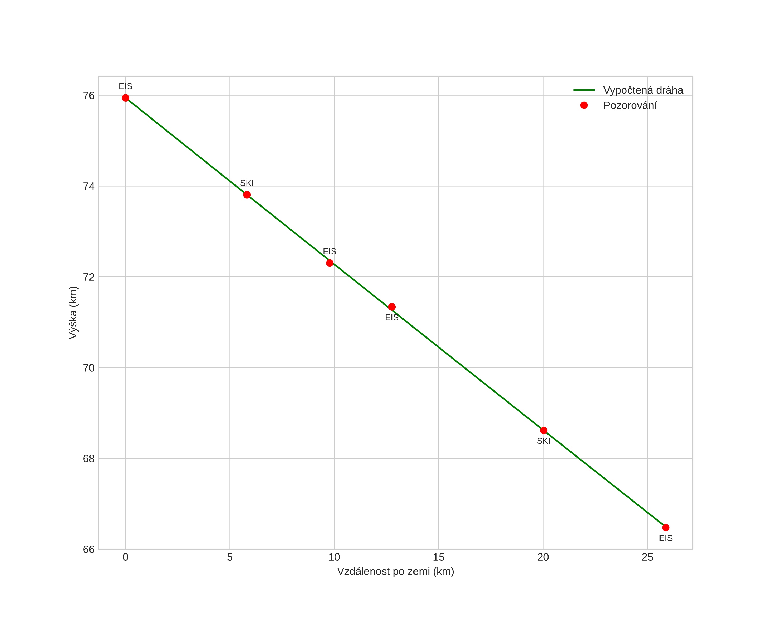
Atmosférická dráha meteoru:
Počáteční výška: 76,9 km
Konečná výška: 66,5 km
Počáteční poloha: 70,021N 20,285E
Konečná poloha: 70,021N 20,974E
Směr: 89,6°
Sklon: 21,7°
VstupnĂ­ rychlost: 14,3 km/s
Rektascenze radiantu: 21:14 (318,6°)
Deklinace radiantu: 3,8°
MeteorickĂ˝ roj: sporadickĂ˝
Elementy dráhy meteoroidu:
Vzdálenost v periheliu: 0,989 AU
Excentricita: 0,690
Sklon dráhy: 4,4°
Délka vzestupného uzlu: 229,9°
Argument perihelia: 182,8°
Střední anomálie: 359,6°
Epocha: 2023 NOV 12 22:20:19
orbit plot

NeinteraktivnĂ­ graf | InteraktivnĂ­ graf

position vs time
speed and acceleration