🇳🇴 🇬🇧 🇩🇪 🇨🇿 🇫🇮

Meteor, poloha: Finnsnes 2023-11-12 23:47:12 UTC

Soubor KML  |  InteraktivnĂ­ mapa

Mapa zobrazuje dráhy meteoru. Světlejší čáry ukazují směry od pozorovacích stanic při objevení se meteoru a tmavší čáry, kde byl naposledy viděn. Modrá šipka značí viditelnou dráhu meteoru.

static map
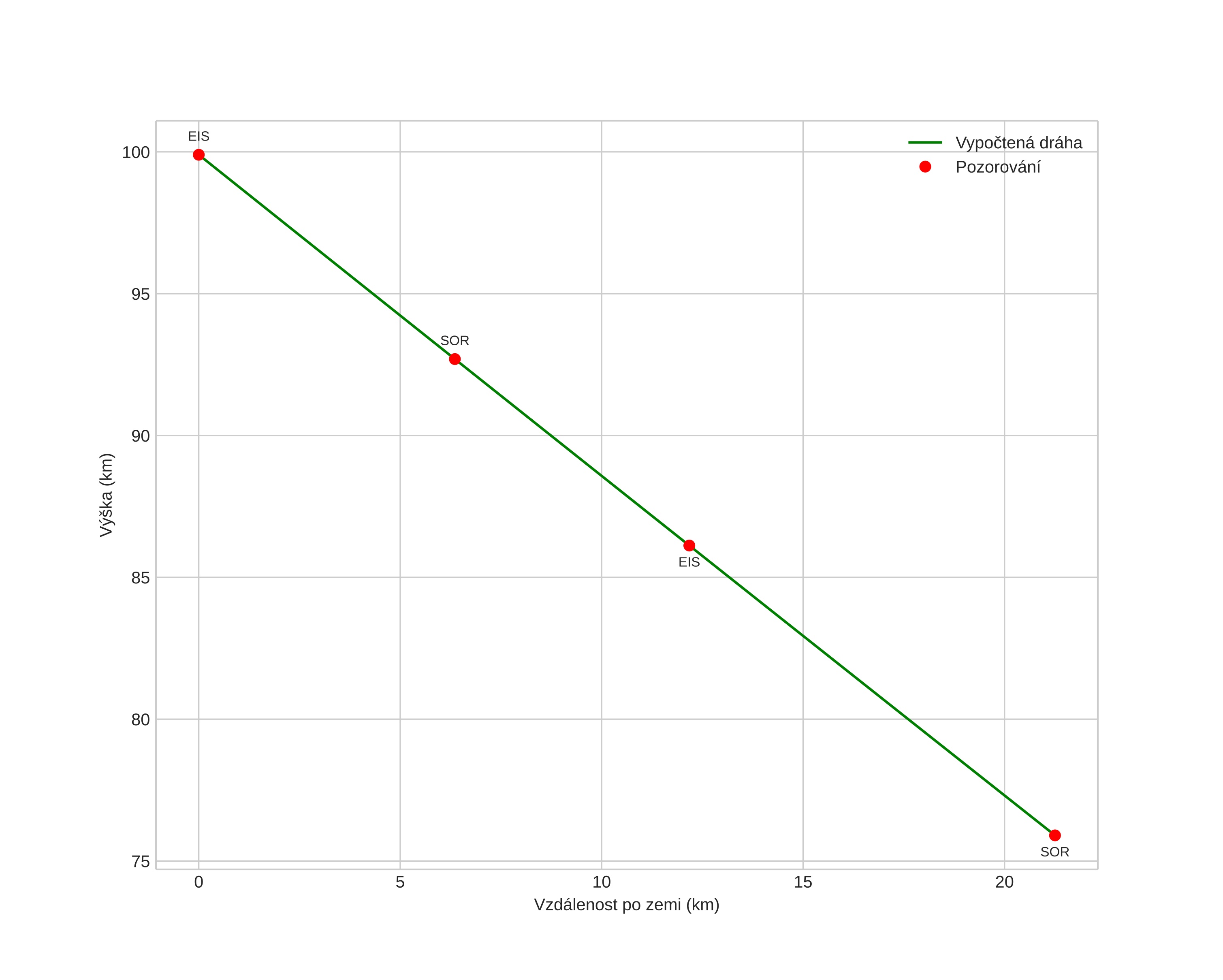
height profile
Atmosférická dráha meteoru:
Počáteční výška: 102,2 km
Konečná výška: 75,6 km
Počáteční poloha: 69,989N 17,645E
Konečná poloha: 70,199N 17,749E
Směr: 9,5°
Sklon: 48,4°
VstupnĂ­ rychlost: 33,5 km/s
Rektascenze radiantu: 03:53 (58,3°)
Deklinace radiantu: 27,1°
MeteorickĂ˝ roj: SevernĂ­ Tauridy
Elementy dráhy meteoroidu:
Vzdálenost v periheliu: 0,331 AU
Excentricita: 0,906
Sklon dráhy: 8,9°
Délka vzestupného uzlu: 230,0°
Argument perihelia: 293,5°
Střední anomálie: 354,1°
Epocha: 2023 NOV 12 23:47:12
orbit plot

NeinteraktivnĂ­ graf | InteraktivnĂ­ graf

position vs time
speed and acceleration