🇳🇴 🇬🇧 🇩🇪 🇨🇿 🇫🇮

Meteor, poloha: Tromsø 2023-11-13 15:08:20 UTC

Soubor KML  |  InteraktivnĂ­ mapa

Mapa zobrazuje dráhy meteoru. Světlejší čáry ukazují směry od pozorovacích stanic při objevení se meteoru a tmavší čáry, kde byl naposledy viděn. Modrá šipka značí viditelnou dráhu meteoru.

static map
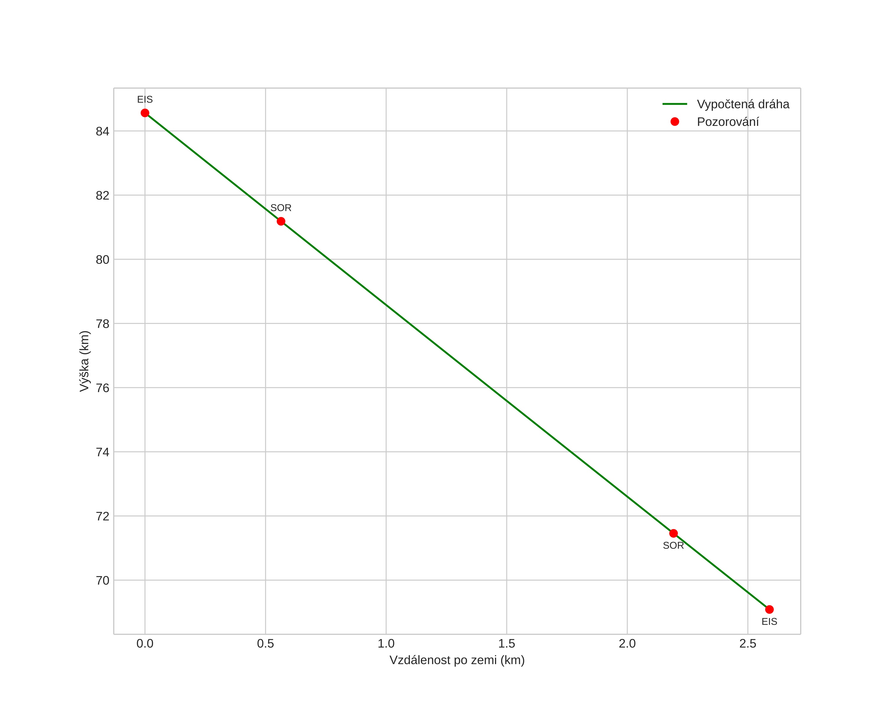
height profile
Atmosférická dráha meteoru:
Počáteční výška: 84,1 km
Konečná výška: 68,8 km
Počáteční poloha: 69,979N 18,354E
Konečná poloha: 70,001N 18,334E
Směr: 343,1°
Sklon: 80,4°
VstupnĂ­ rychlost: 19,3 km/s
Rektascenze radiantu: 20:10 (302,7°)
Deklinace radiantu: 59,5°
MeteorickĂ˝ roj: sporadickĂ˝
Elementy dráhy meteoroidu:
Vzdálenost v periheliu: 0,983 AU
Excentricita: 0,554
Sklon dráhy: 24,1°
Délka vzestupného uzlu: 230,6°
Argument perihelia: 191,0°
Střední anomálie: 357,4°
Epocha: 2023 NOV 13 15:08:20
orbit plot

NeinteraktivnĂ­ graf | InteraktivnĂ­ graf

position vs time
speed and acceleration