🇳🇴 🇬🇧 🇩🇪 🇨🇿 🇫🇮

Meteor, poloha: Malmberget 2023-11-14 02:17:40 UTC

Soubor KML  |  InteraktivnĂ­ mapa

Mapa zobrazuje dráhy meteoru. Světlejší čáry ukazují směry od pozorovacích stanic při objevení se meteoru a tmavší čáry, kde byl naposledy viděn. Modrá šipka značí viditelnou dráhu meteoru.

static map
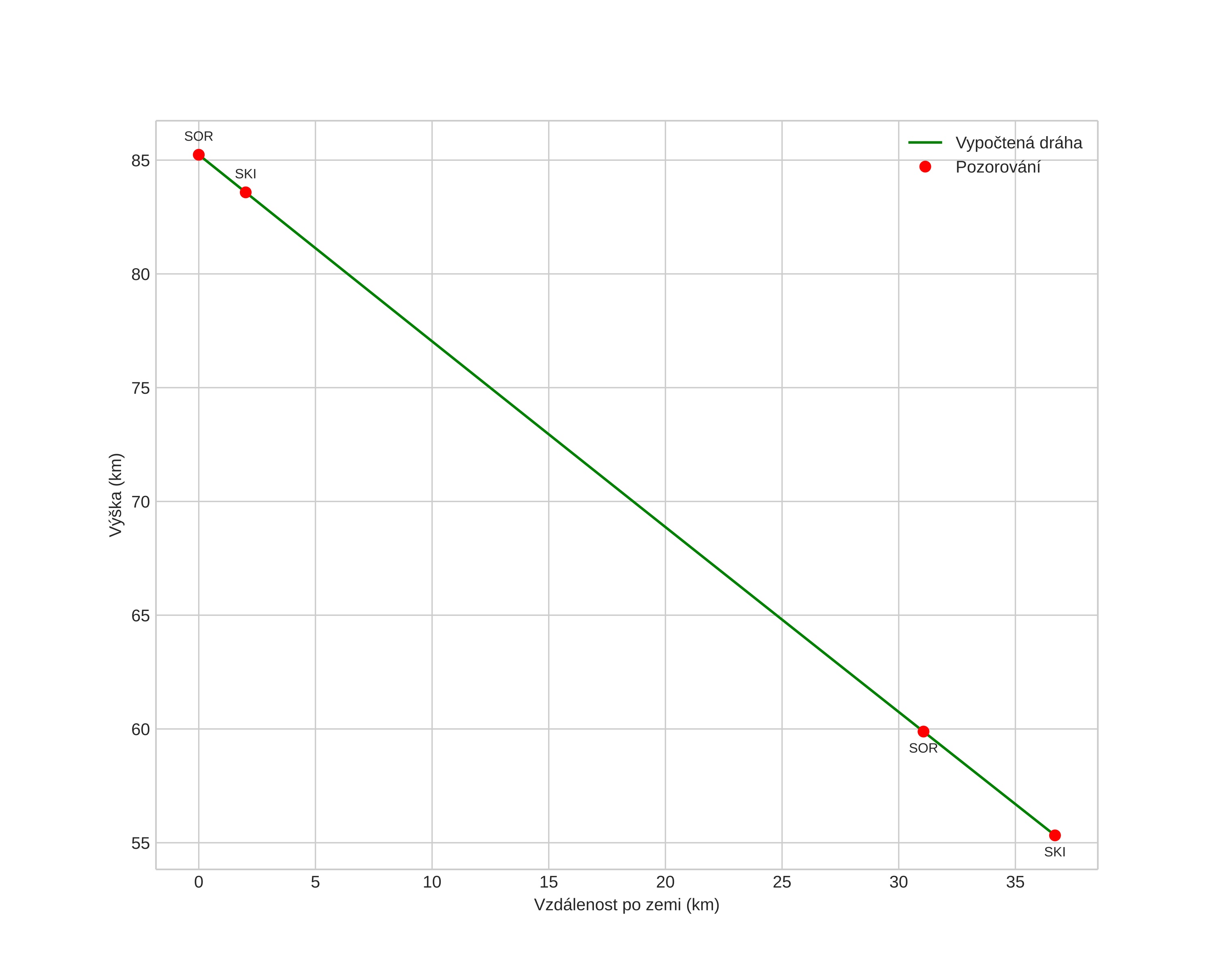
height profile
Atmosférická dráha meteoru:
Počáteční výška: 85,2 km
Konečná výška: 55,4 km
Počáteční poloha: 67,577N 20,389E
Konečná poloha: 67,754N 21,119E
Směr: 57,1°
Sklon: 39,2°
VstupnĂ­ rychlost: 29,7 km/s
Rektascenze radiantu: 04:01 (60,4°)
Deklinace radiantu: 22,9°
MeteorickĂ˝ roj: SevernĂ­ Tauridy
Elementy dráhy meteoroidu:
Vzdálenost v periheliu: 0,363 AU
Excentricita: 0,820
Sklon dráhy: 2,5°
Délka vzestupného uzlu: 231,1°
Argument perihelia: 293,9°
Střední anomálie: 345,2°
Epocha: 2023 NOV 14 02:17:40
orbit plot

NeinteraktivnĂ­ graf | InteraktivnĂ­ graf

position vs time
speed and acceleration