🇳🇴 🇬🇧 🇩🇪 🇨🇿 🇫🇮

Meteor, poloha: Lærdalsøyri 2023-11-15 21:43:35 UTC

Soubor KML  |  InteraktivnĂ­ mapa

Mapa zobrazuje dráhy meteoru. Světlejší čáry ukazují směry od pozorovacích stanic při objevení se meteoru a tmavší čáry, kde byl naposledy viděn. Modrá šipka značí viditelnou dráhu meteoru.

static map
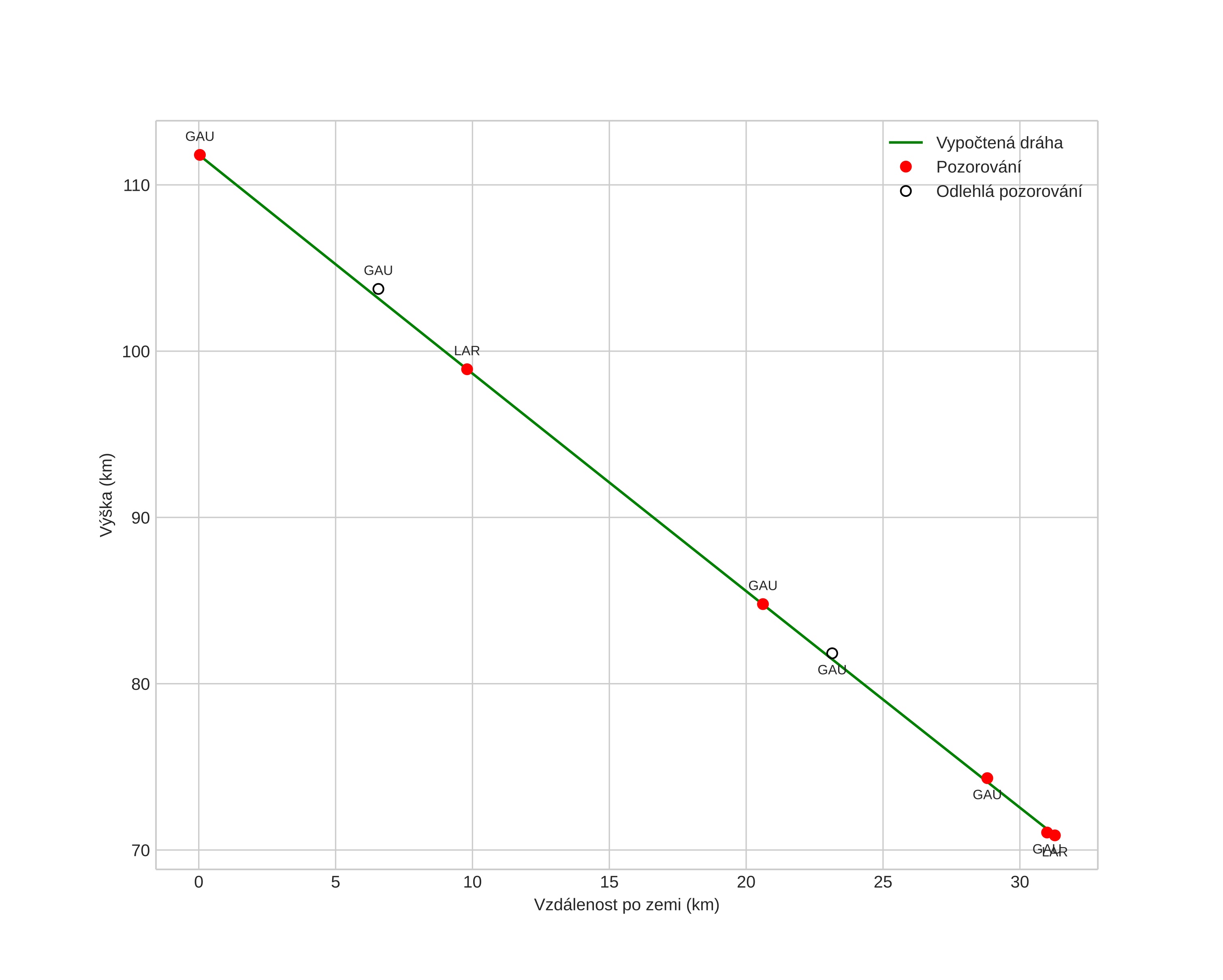
height profile
Atmosférická dráha meteoru:
Počáteční výška: 106,7 km
Konečná výška: 74,4 km
Počáteční poloha: 60,695N 7,992E
Konečná poloha: 60,935N 7,497E
Směr: 315,0°
Sklon: 40,5°
VstupnĂ­ rychlost: 34,2 km/s
Rektascenze radiantu: 04:10 (62,7°)
Deklinace radiantu: 16,2°
MeteorickĂ˝ roj: SevernĂ­ Tauridy
Elementy dráhy meteoroidu:
Vzdálenost v periheliu: 0,336 AU
Excentricita: 0,930
Sklon dráhy: 6,4°
Délka vzestupného uzlu: 53,0°
Argument perihelia: 111,7°
Střední anomálie: 356,4°
Epocha: 2023 NOV 15 21:43:35
orbit plot

NeinteraktivnĂ­ graf | InteraktivnĂ­ graf

position vs time
speed and acceleration