🇳🇴 🇬🇧 🇩🇪 🇨🇿 🇫🇮

Meteor, poloha: Hals 2023-11-18 00:46:14 UTC

Soubor KML  |  InteraktivnĂ­ mapa

Mapa zobrazuje dráhy meteoru. Světlejší čáry ukazují směry od pozorovacích stanic při objevení se meteoru a tmavší čáry, kde byl naposledy viděn. Modrá šipka značí viditelnou dráhu meteoru.

static map
height profile
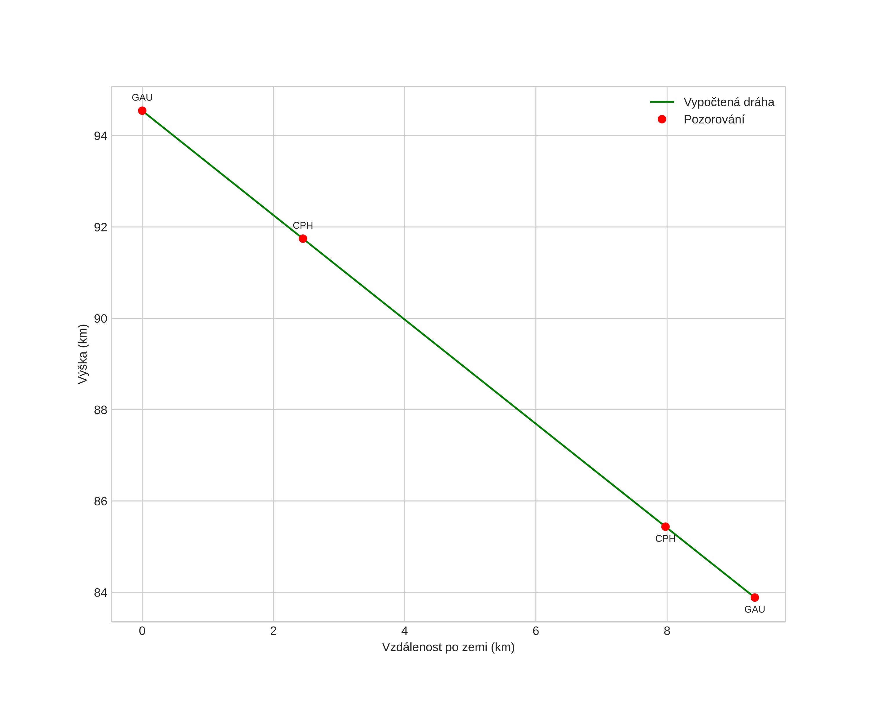
Atmosférická dráha meteoru:
Počáteční výška: 95,2 km
Konečná výška: 83,9 km
Počáteční poloha: 56,987N 10,364E
Konečná poloha: 56,956N 10,212E
Směr: 249,8°
Sklon: 48,9°
VstupnĂ­ rychlost: 59,1 km/s
Rektascenze radiantu: 09:55 (148,8°)
Deklinace radiantu: 49,0°
MeteorickĂ˝ roj: sporadickĂ˝
Elementy dráhy meteoroidu:
Vzdálenost v periheliu: 0,886 AU
Excentricita: 0,650
Sklon dráhy: 117,5°
Délka vzestupného uzlu: 235,1°
Argument perihelia: 222,6°
Střední anomálie: 352,6°
Epocha: 2023 NOV 18 00:46:14
orbit plot

NeinteraktivnĂ­ graf | InteraktivnĂ­ graf

position vs time
speed and acceleration