🇳🇴 🇬🇧 🇩🇪 🇨🇿 🇫🇮

Meteor, poloha: Lystrup 2023-11-23 02:48:03 UTC

Soubor KML  |  Interaktivní mapa

Mapa zobrazuje dráhy meteoru. Světlejší čáry ukazují směry od pozorovacích stanic při objevení se meteoru a tmavší čáry, kde byl naposledy viděn. Modrá šipka značí viditelnou dráhu meteoru.

static map
height profile
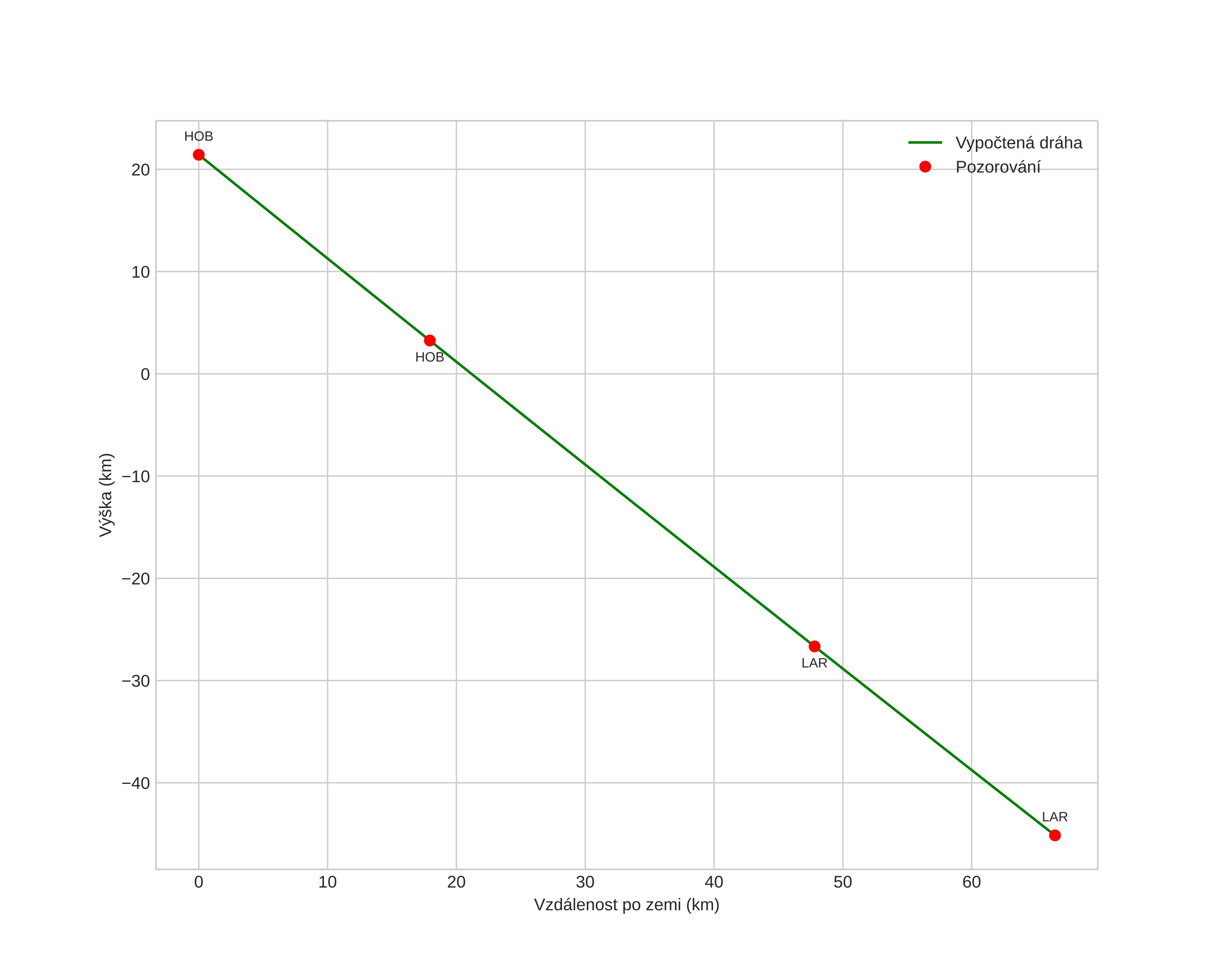
Atmosférická dráha meteoru:
Počáteční výška: 19,4 km
Konečná výška: -45,3 km
Počáteční poloha: 56,582N 9,782E
Konečná poloha: 56,858N 10,742E
Směr: 62,0°
Sklon: 44,4°
orbit plot
position vs time
speed and acceleration