🇳🇴 🇬🇧 🇩🇪 🇨🇿 🇫🇮

Meteor, poloha: Tromsø 2023-11-24 14:05:15 UTC

Soubor KML  |  InteraktivnĂ­ mapa

Mapa zobrazuje dráhy meteoru. Světlejší čáry ukazují směry od pozorovacích stanic při objevení se meteoru a tmavší čáry, kde byl naposledy viděn. Modrá šipka značí viditelnou dráhu meteoru.

static map
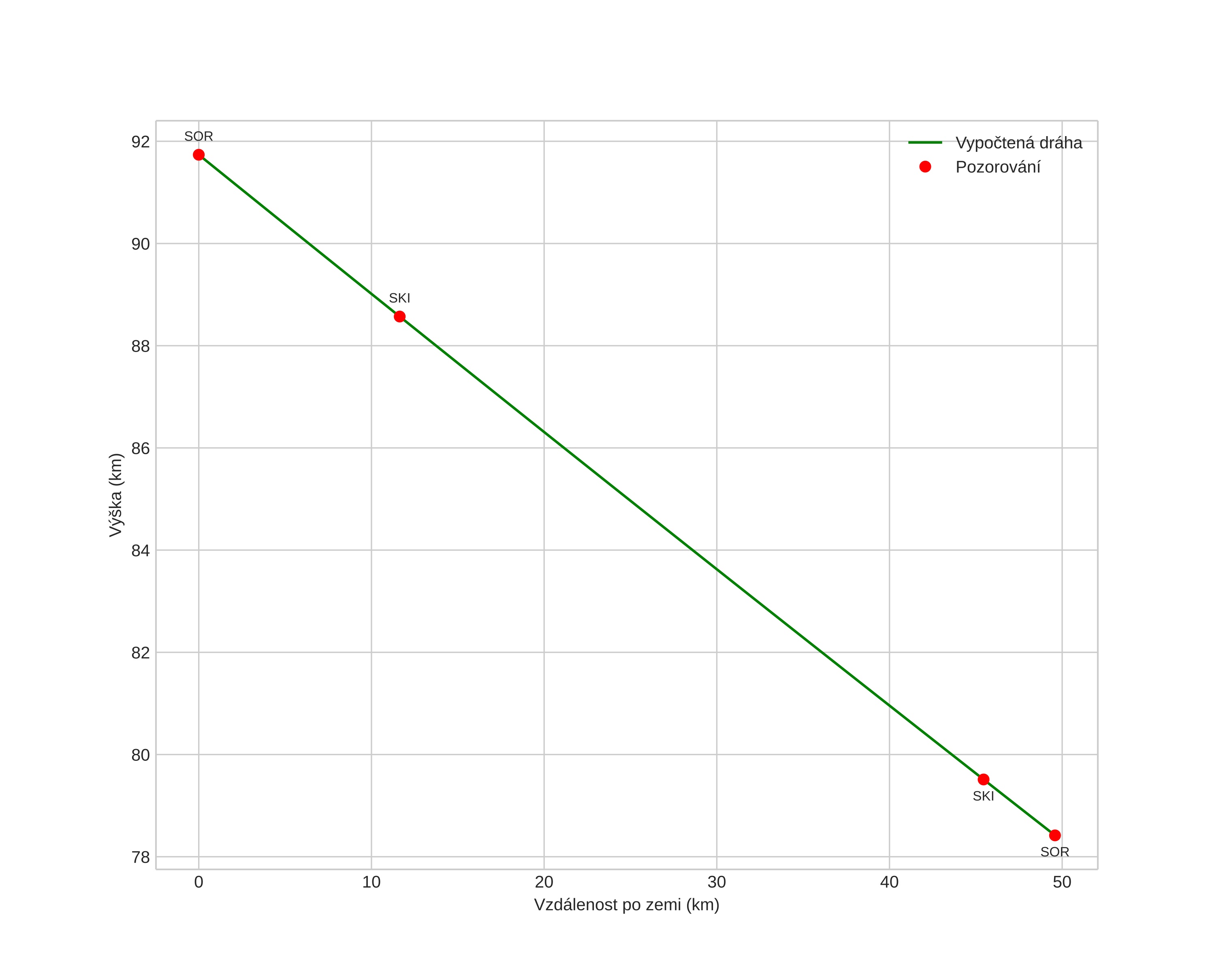
height profile
Atmosférická dráha meteoru:
Počáteční výška: 91,7 km
Konečná výška: 78,4 km
Počáteční poloha: 70,036N 19,522E
Konečná poloha: 69,695N 18,688E
Směr: 220,4°
Sklon: 15,0°
VstupnĂ­ rychlost: 30,5 km/s
Rektascenze radiantu: 04:34 (68,7°)
Deklinace radiantu: 26,6°
MeteorickĂ˝ roj: SevernĂ­ Tauridy
Elementy dráhy meteoroidu:
Vzdálenost v periheliu: 0,393 AU
Excentricita: 0,848
Sklon dráhy: 5,1°
Délka vzestupného uzlu: 241,7°
Argument perihelia: 288,2°
Střední anomálie: 350,1°
Epocha: 2023 NOV 24 14:05:15
orbit plot

NeinteraktivnĂ­ graf | InteraktivnĂ­ graf

position vs time
speed and acceleration