🇳🇴 🇬🇧 🇩🇪 🇨🇿 🇫🇮

Meteor Grenaan yllä 2023-11-25 04:20:40 UTC

KML-tiedosto  |  Interaktiivinen kartta

Kartta näyttää meteorin suuntahavainnot. Vaaleammat viivat näyttävät suunnat havaintoasemilta meteorin ilmestyessä, ja tummemmat viivat näyttävät, missä se viimeksi nähtiin. Sininen nuoli näyttää meteorin näkyvän lennon.

static map
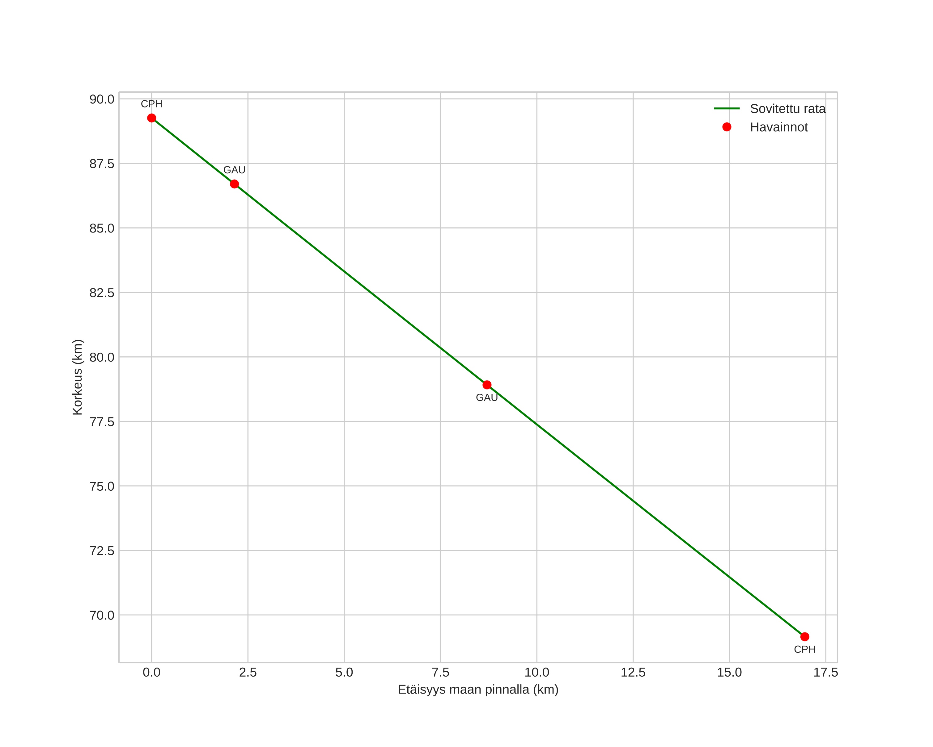
height profile
Meteorin ilmakehärata:
Alkukorkeus: 88,8 km
Loppukorkeus: 68,1 km
Alkupiste: 56,591N 11,180E
Loppupiste: 56,457N 11,044E
Suunta: 209,1°
Kallistuskulma: 50,4°
Tulonopeus: 50,4 km/s
Radiantin R,A,: 15:55 (238,9°)
Radiantin Dekl,: 71,8°
Meteoriparvi: Sporadinen
Meteoroidin rataelementit:
Perihelietäisyys: 0,986 AU
Eksentrisyys: 2,016
Inklinaatio: 67,2°
Nousevan solmun pituus: 242,3°
Perihelin argumentti: 184,0°
Keskianomalia: -2,4°
Epookki: 2023 NOV 25 04:20:40
orbit plot

Ei-interaktiivinen kuvaaja | Interaktiivinen kuvaaja

position vs time
speed and acceleration