🇳🇴 🇬🇧 🇩🇪 🇨🇿 🇫🇮

Meteor, poloha: Valle 2023-11-25 20:08:57 UTC

Soubor KML  |  InteraktivnĂ­ mapa

Mapa zobrazuje dráhy meteoru. Světlejší čáry ukazují směry od pozorovacích stanic při objevení se meteoru a tmavší čáry, kde byl naposledy viděn. Modrá šipka značí viditelnou dráhu meteoru.

static map
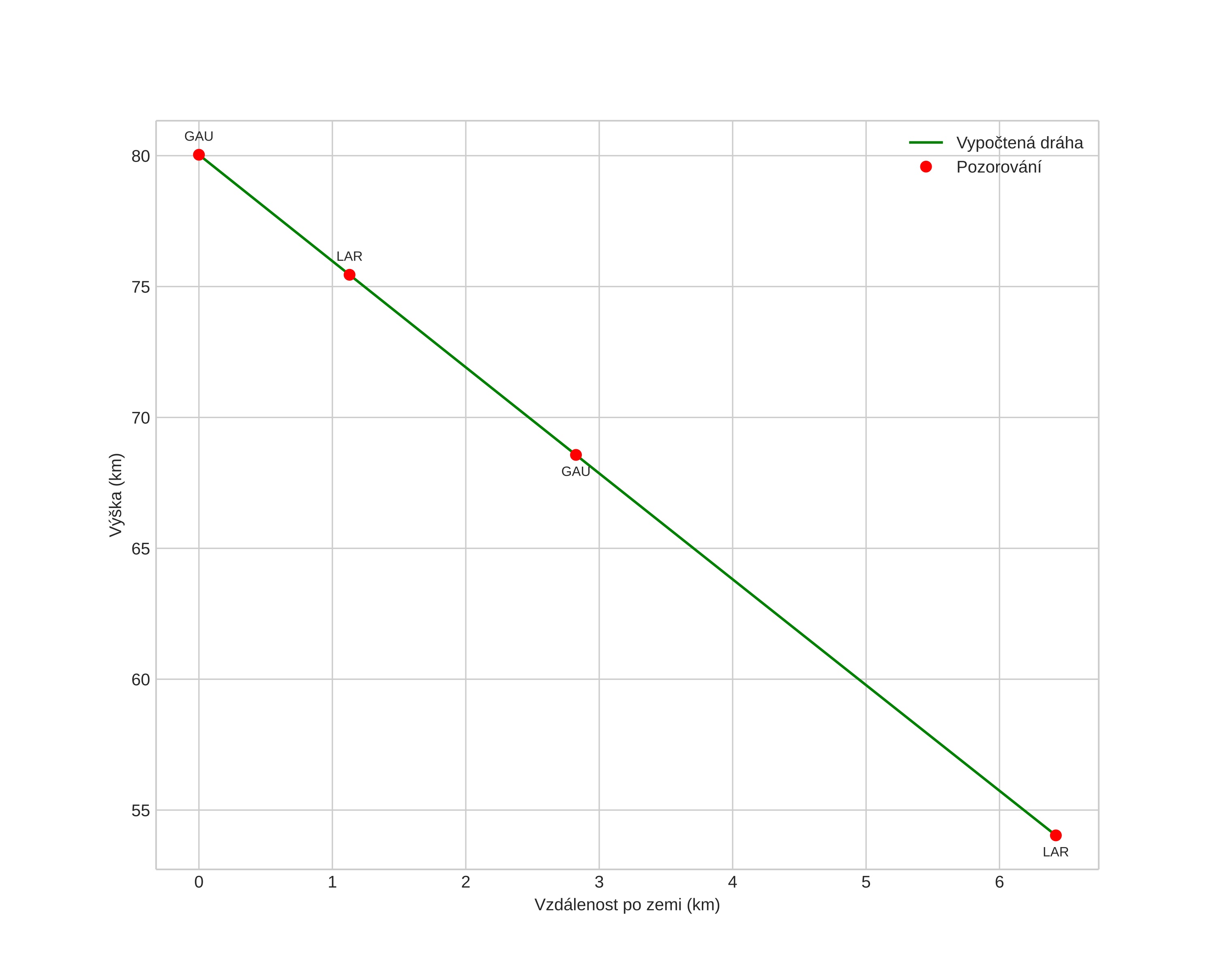
height profile
Atmosférická dráha meteoru:
Počáteční výška: 79,9 km
Konečná výška: 53,6 km
Počáteční poloha: 59,374N 7,519E
Konečná poloha: 59,380N 7,636E
Směr: 84,7°
Sklon: 75,8°
VstupnĂ­ rychlost: 18,0 km/s
Rektascenze radiantu: 22:58 (344,7°)
Deklinace radiantu: 54,0°
MeteorickĂ˝ roj: sporadickĂ˝
Elementy dráhy meteoroidu:
Vzdálenost v periheliu: 0,954 AU
Excentricita: 0,657
Sklon dráhy: 17,5°
Délka vzestupného uzlu: 243,0°
Argument perihelia: 203,7°
Střední anomálie: 356,2°
Epocha: 2023 NOV 25 20:08:57
orbit plot

NeinteraktivnĂ­ graf | InteraktivnĂ­ graf

position vs time
speed and acceleration