🇳🇴 🇬🇧 🇩🇪 🇨🇿 🇫🇮

Meteor Sæbyn yllä 2023-11-26 00:32:26 UTC

KML-tiedosto  |  Interaktiivinen kartta

Kartta näyttää meteorin suuntahavainnot. Vaaleammat viivat näyttävät suunnat havaintoasemilta meteorin ilmestyessä, ja tummemmat viivat näyttävät, missä se viimeksi nähtiin. Sininen nuoli näyttää meteorin näkyvän lennon.

static map
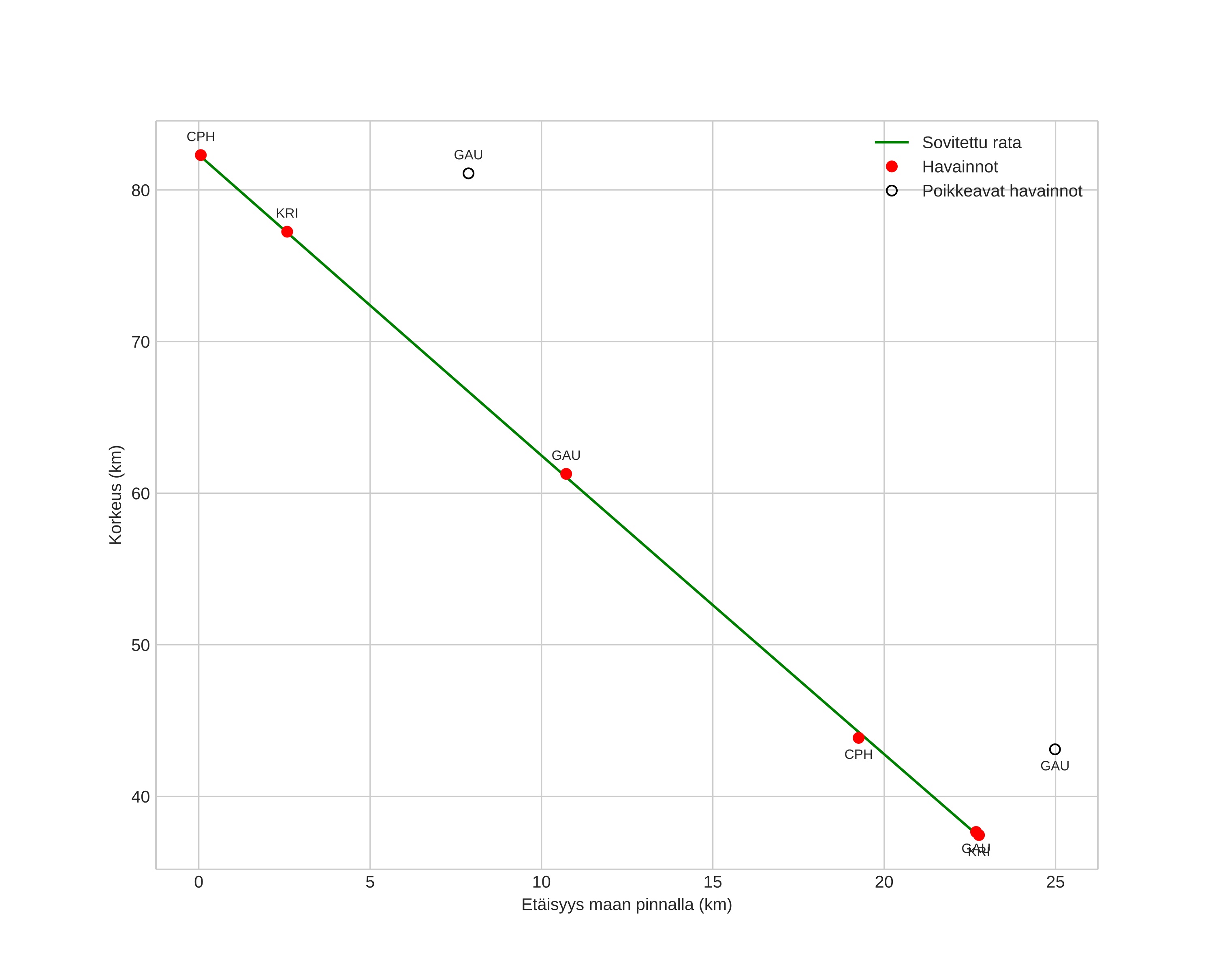
height profile
Meteorin ilmakehärata:
Alkukorkeus: 82,3 km
Loppukorkeus: 37,4 km
Alkupiste: 56,991N 10,561E
Loppupiste: 57,189N 10,653E
Suunta: 14,2°
Kallistuskulma: 63,2°
Tulonopeus: 32,4 km/s
Radiantin R,A,: 04:59 (74,8°)
Radiantin Dekl,: 29,6°
Meteoriparvi: Pohjoiset tauridit
Meteoroidin rataelementit:
Perihelietäisyys: 0,320 AU
Eksentrisyys: 0,866
Inklinaatio: 9,0°
Nousevan solmun pituus: 243,1°
Perihelin argumentti: 297,1°
Keskianomalia: 349,1°
Epookki: 2023 NOV 26 00:32:26
orbit plot

Ei-interaktiivinen kuvaaja | Interaktiivinen kuvaaja

position vs time
speed and acceleration

Gaustatoppen (GAU) cam4


gnomonic
Videot:
• Gnomoninen
• Gnomoninen koordinaateilla
• Alkuperäinen
• Alkuperäinen koordinaateilla
Kuvat:
• Gnomoninen
• Gnomoninen koordinaateilla
• Gnomoninen merkinnöillä
• Alkuperäinen
• Alkuperäinen koordinaateilla
Tekstitiedostot:
• Havaintoraportti
• Observaatio
• Koordinaatit
• Virheilmoitukset
• Loki
Kirkkaus

Kristiansand (KRI) cam2


gnomonic
Videot:
• Gnomoninen
• Gnomoninen koordinaateilla
• Alkuperäinen
• Alkuperäinen koordinaateilla
Kuvat:
• Gnomoninen
• Gnomoninen koordinaateilla
• Gnomoninen merkinnöillä
• Alkuperäinen
• Alkuperäinen koordinaateilla
• Alkuperäinen maskilla
Tekstitiedostot:
• Havaintoraportti
• Observaatio
• Koordinaatit
• Loki
Kirkkaus