🇳🇴 🇬🇧 🇩🇪 🇨🇿 🇫🇮

Meteor, poloha: Mjøndalen 2023-11-26 06:19:30 UTC

Soubor KML  |  InteraktivnĂ­ mapa

Mapa zobrazuje dráhy meteoru. Světlejší čáry ukazují směry od pozorovacích stanic při objevení se meteoru a tmavší čáry, kde byl naposledy viděn. Modrá šipka značí viditelnou dráhu meteoru.

static map
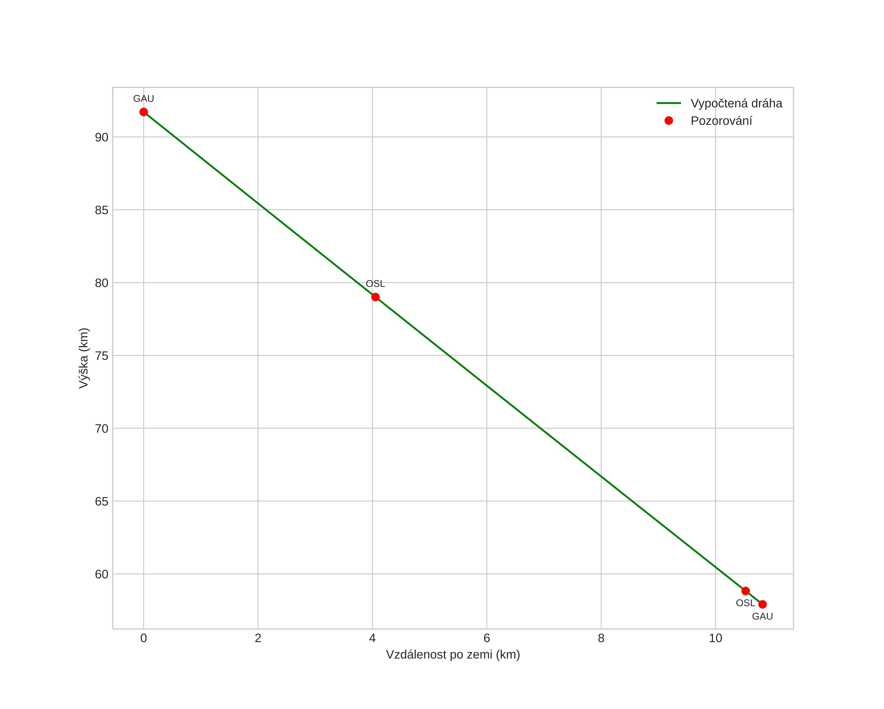
height profile
Atmosférická dráha meteoru:
Počáteční výška: 82,5 km
Konečná výška: 58,7 km
Počáteční poloha: 59,882N 10,183E
Konečná poloha: 59,833N 10,080E
Směr: 226,7°
Sklon: 71,5°
VstupnĂ­ rychlost: 41,6 km/s
Rektascenze radiantu: 13:53 (208,4°)
Deklinace radiantu: 68,6°
MeteorickĂ˝ roj: sporadickĂ˝
Elementy dráhy meteoroidu:
Vzdálenost v periheliu: 0,984 AU
Excentricita: 0,775
Sklon dráhy: 68,1°
Délka vzestupného uzlu: 243,4°
Argument perihelia: 187,0°
Střední anomálie: 359,4°
Epocha: 2023 NOV 26 06:19:30
orbit plot

NeinteraktivnĂ­ graf | InteraktivnĂ­ graf

position vs time
speed and acceleration