🇳🇴 🇬🇧 🇩🇪 🇨🇿 🇫🇮

Meteor, poloha: Tromsø 2023-11-27 07:12:01 UTC

Soubor KML  |  InteraktivnĂ­ mapa

Mapa zobrazuje dráhy meteoru. Světlejší čáry ukazují směry od pozorovacích stanic při objevení se meteoru a tmavší čáry, kde byl naposledy viděn. Modrá šipka značí viditelnou dráhu meteoru.

static map
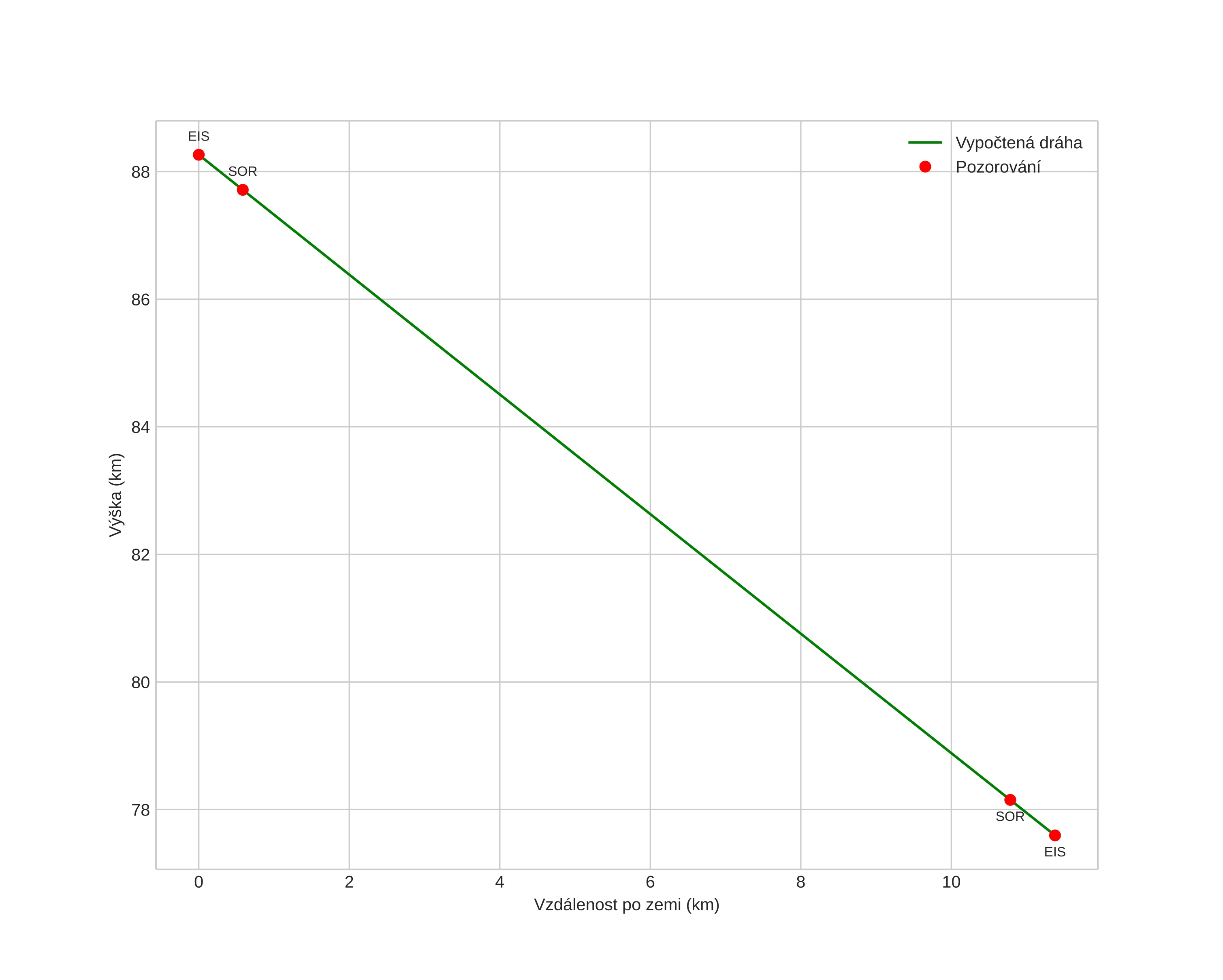
height profile
Atmosférická dráha meteoru:
Počáteční výška: 88,3 km
Konečná výška: 77,6 km
Počáteční poloha: 69,809N 18,916E
Konečná poloha: 69,785N 18,628E
Směr: 256,9°
Sklon: 43,2°
VstupnĂ­ rychlost: 21,0 km/s
Rektascenze radiantu: 18:33 (278,4°)
Deklinace radiantu: 41,0°
MeteorickĂ˝ roj: sporadickĂ˝
Elementy dráhy meteoroidu:
Vzdálenost v periheliu: 0,962 AU
Excentricita: 0,697
Sklon dráhy: 24,3°
Délka vzestupného uzlu: 244,4°
Argument perihelia: 159,9°
Střední anomálie: 2,6°
Epocha: 2023 NOV 27 07:12:01
orbit plot

NeinteraktivnĂ­ graf | InteraktivnĂ­ graf

position vs time
speed and acceleration