🇳🇴 🇬🇧 🇩🇪 🇨🇿 🇫🇮

Meteor, poloha: Storsteinnes 2023-11-27 21:41:22 UTC

Soubor KML  |  InteraktivnĂ­ mapa

Mapa zobrazuje dráhy meteoru. Světlejší čáry ukazují směry od pozorovacích stanic při objevení se meteoru a tmavší čáry, kde byl naposledy viděn. Modrá šipka značí viditelnou dráhu meteoru.

static map
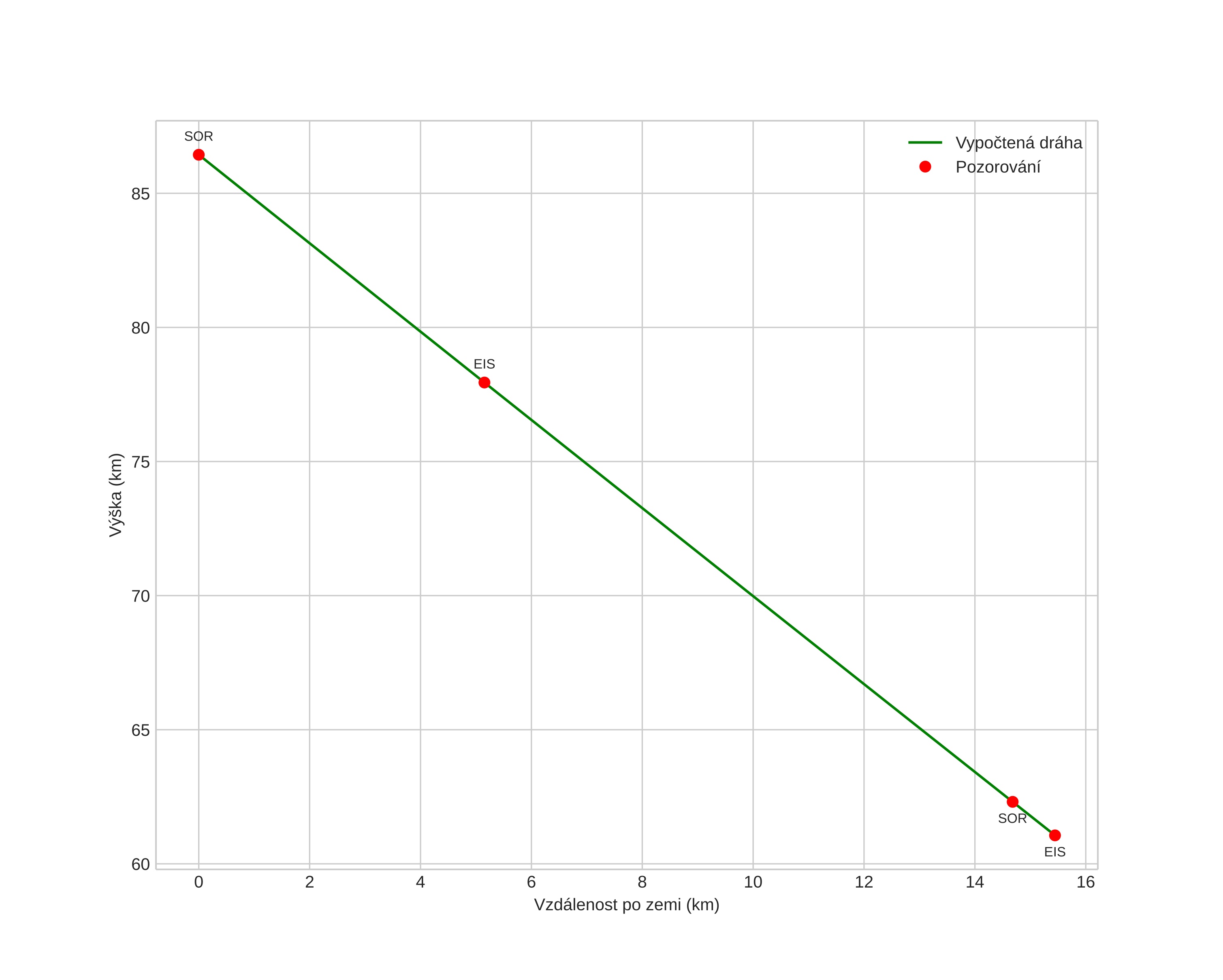
height profile
Atmosférická dráha meteoru:
Počáteční výška: 86,8 km
Konečná výška: 61,2 km
Počáteční poloha: 69,612N 19,014E
Konečná poloha: 69,575N 19,397E
Směr: 105,3°
Sklon: 59,0°
VstupnĂ­ rychlost: 17,4 km/s
Rektascenze radiantu: 22:19 (334,9°)
Deklinace radiantu: 54,4°
MeteorickĂ˝ roj: sporadickĂ˝
Elementy dráhy meteoroidu:
Vzdálenost v periheliu: 0,969 AU
Excentricita: 0,623
Sklon dráhy: 17,6°
Délka vzestupného uzlu: 245,0°
Argument perihelia: 197,7°
Střední anomálie: 356,7°
Epocha: 2023 NOV 27 21:41:22
orbit plot

NeinteraktivnĂ­ graf | InteraktivnĂ­ graf

position vs time
speed and acceleration