🇳🇴 🇬🇧 🇩🇪 🇨🇿 🇫🇮

Meteor, poloha: Tromsø 2023-11-29 02:06:00 UTC

Soubor KML  |  InteraktivnĂ­ mapa

Mapa zobrazuje dráhy meteoru. Světlejší čáry ukazují směry od pozorovacích stanic při objevení se meteoru a tmavší čáry, kde byl naposledy viděn. Modrá šipka značí viditelnou dráhu meteoru.

static map
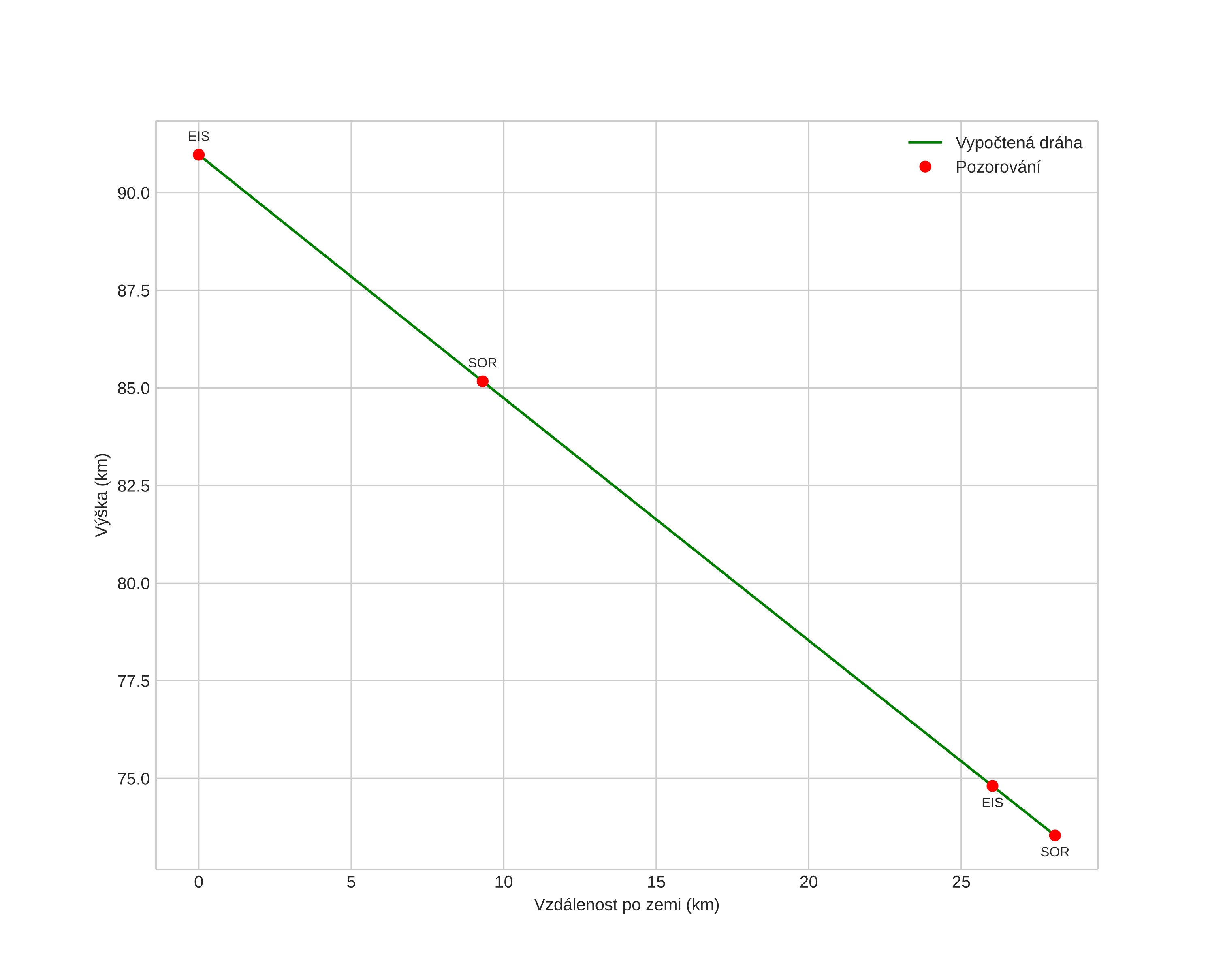
height profile
Atmosférická dráha meteoru:
Počáteční výška: 90,7 km
Konečná výška: 73,8 km
Počáteční poloha: 70,018N 18,575E
Konečná poloha: 70,251N 18,898E
Směr: 25,1°
Sklon: 30,5°
VstupnĂ­ rychlost: 49,8 km/s
Rektascenze radiantu: 06:20 (95,2°)
Deklinace radiantu: 11,3°
MeteorickĂ˝ roj: sporadickĂ˝
Elementy dráhy meteoroidu:
Vzdálenost v periheliu: 0,084 AU
Excentricita: 1,010
Sklon dráhy: 54,7°
Délka vzestupného uzlu: 66,3°
Argument perihelia: 145,1°
Střední anomálie: -1,3°
Epocha: 2023 NOV 29 02:06:00
orbit plot

NeinteraktivnĂ­ graf | InteraktivnĂ­ graf

position vs time
speed and acceleration