🇳🇴 🇬🇧 🇩🇪 🇨🇿 🇫🇮

Meteor, poloha: Gol 2023-12-01 01:52:45 UTC

Soubor KML  |  InteraktivnĂ­ mapa

Mapa zobrazuje dráhy meteoru. Světlejší čáry ukazují směry od pozorovacích stanic při objevení se meteoru a tmavší čáry, kde byl naposledy viděn. Modrá šipka značí viditelnou dráhu meteoru.

static map
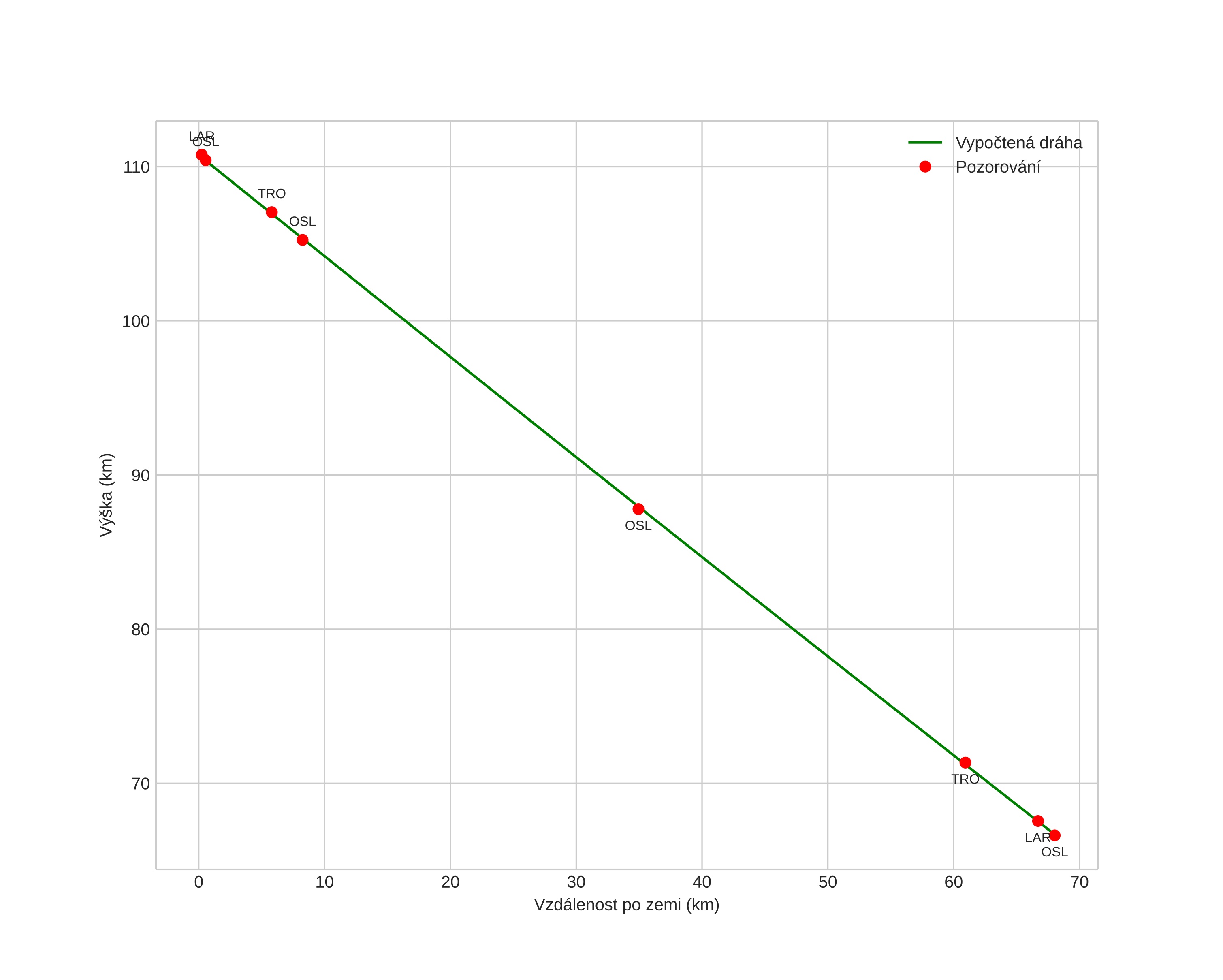
height profile
Atmosférická dráha meteoru:
Počáteční výška: 112,5 km
Konečná výška: 66,5 km
Počáteční poloha: 60,292N 9,215E
Konečná poloha: 60,901N 8,881E
Směr: 345,1°
Sklon: 33,2°
VstupnĂ­ rychlost: 59,0 km/s
Rektascenze radiantu: 07:55 (119,0°)
Deklinace radiantu: 3,8°
MeteorickĂ˝ roj: sporadickĂ˝
Elementy dráhy meteoroidu:
Vzdálenost v periheliu: 0,257 AU
Excentricita: 0,955
Sklon dráhy: 129,3°
Délka vzestupného uzlu: 68,3°
Argument perihelia: 120,9°
Střední anomálie: 357,3°
Epocha: 2023 DEC 01 01:52:45
orbit plot

NeinteraktivnĂ­ graf | InteraktivnĂ­ graf

position vs time
speed and acceleration