🇳🇴 🇬🇧 🇩🇪 🇨🇿 🇫🇮

Meteor, poloha: DombĂĄs 2023-12-01 22:12:54 UTC

Soubor KML  |  InteraktivnĂ­ mapa

Mapa zobrazuje dráhy meteoru. Světlejší čáry ukazují směry od pozorovacích stanic při objevení se meteoru a tmavší čáry, kde byl naposledy viděn. Modrá šipka značí viditelnou dráhu meteoru.

static map
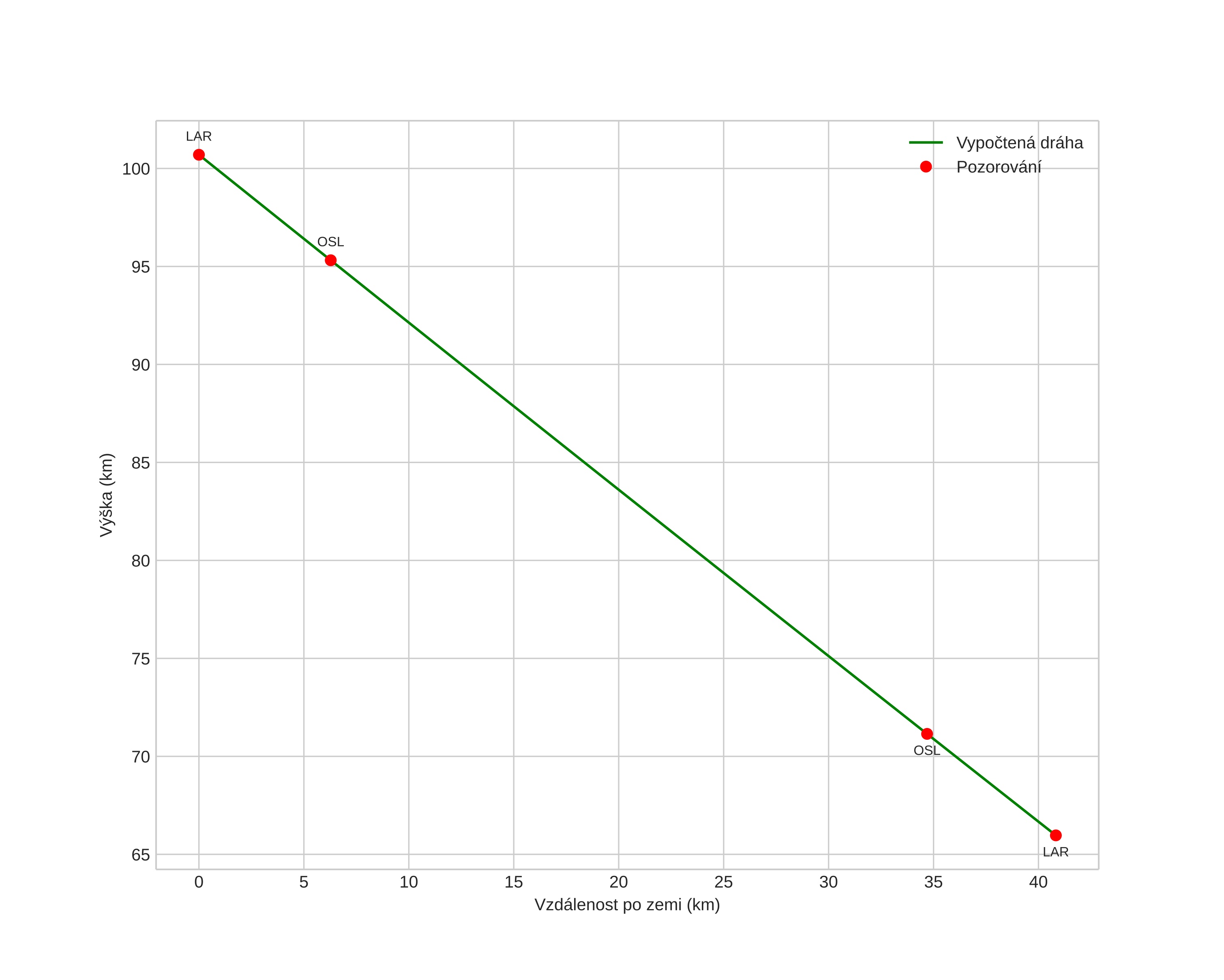
height profile
Atmosférická dráha meteoru:
Počáteční výška: 97,7 km
Konečná výška: 60,1 km
Počáteční poloha: 62,079N 9,546E
Konečná poloha: 62,376N 9,184E
Směr: 330,6°
Sklon: 44,7°
VstupnĂ­ rychlost: 28,7 km/s
Rektascenze radiantu: 04:58 (74,6°)
Deklinace radiantu: 17,4°
MeteorickĂ˝ roj: SevernĂ­ Tauridy
Elementy dráhy meteoroidu:
Vzdálenost v periheliu: 0,455 AU
Excentricita: 0,822
Sklon dráhy: 5,0°
Délka vzestupného uzlu: 69,2°
Argument perihelia: 101,2°
Střední anomálie: 349,7°
Epocha: 2023 DEC 01 22:12:54
orbit plot

NeinteraktivnĂ­ graf | InteraktivnĂ­ graf

position vs time
speed and acceleration