🇳🇴 🇬🇧 🇩🇪 🇨🇿 🇫🇮

Meteor, poloha: Storsteinnes 2023-12-02 07:16:48 UTC

Soubor KML  |  InteraktivnĂ­ mapa

Mapa zobrazuje dráhy meteoru. Světlejší čáry ukazují směry od pozorovacích stanic při objevení se meteoru a tmavší čáry, kde byl naposledy viděn. Modrá šipka značí viditelnou dráhu meteoru.

static map
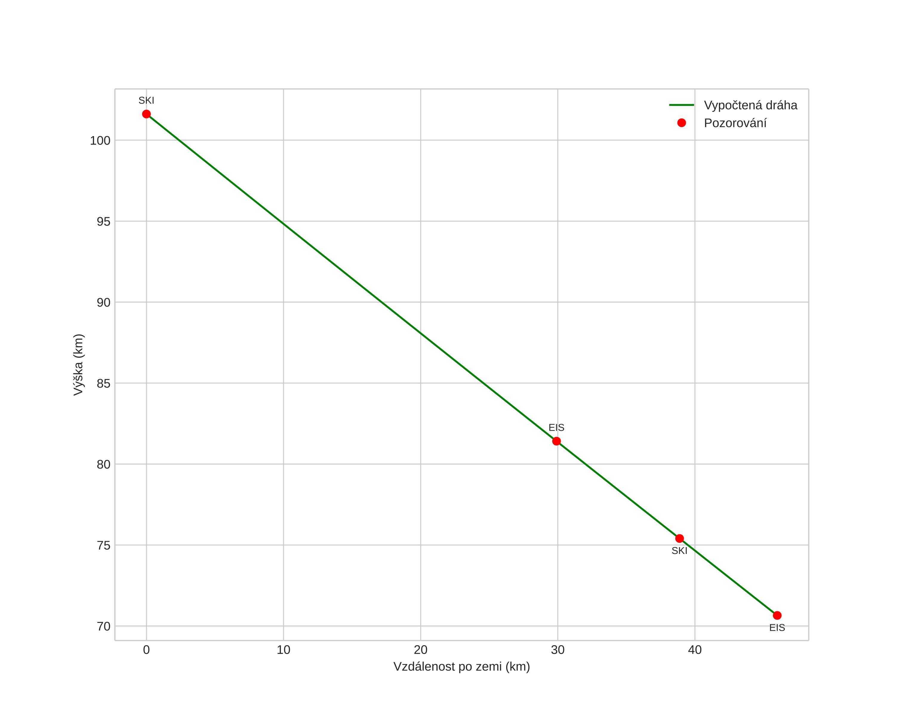
height profile
Atmosférická dráha meteoru:
Počáteční výška: 101,6 km
Konečná výška: 70,7 km
Počáteční poloha: 69,513N 18,217E
Konečná poloha: 69,435N 19,376E
Směr: 100,3°
Sklon: 33,9°
VstupnĂ­ rychlost: 31,6 km/s
Rektascenze radiantu: 07:23 (110,9°)
Deklinace radiantu: 33,1°
MeteorickĂ˝ roj: sporadickĂ˝
Elementy dráhy meteoroidu:
Vzdálenost v periheliu: 0,105 AU
Excentricita: 0,872
Sklon dráhy: 24,9°
Délka vzestupného uzlu: 249,5°
Argument perihelia: 336,7°
Střední anomálie: 305,2°
Epocha: 2023 DEC 02 07:16:48
orbit plot

NeinteraktivnĂ­ graf | InteraktivnĂ­ graf

position vs time
speed and acceleration