🇳🇴 🇬🇧 🇩🇪 🇨🇿 🇫🇮

Meteor, poloha: Brøstadbotn 2023-12-02 16:27:48 UTC

Soubor KML  |  InteraktivnĂ­ mapa

Mapa zobrazuje dráhy meteoru. Světlejší čáry ukazují směry od pozorovacích stanic při objevení se meteoru a tmavší čáry, kde byl naposledy viděn. Modrá šipka značí viditelnou dráhu meteoru.

static map
height profile
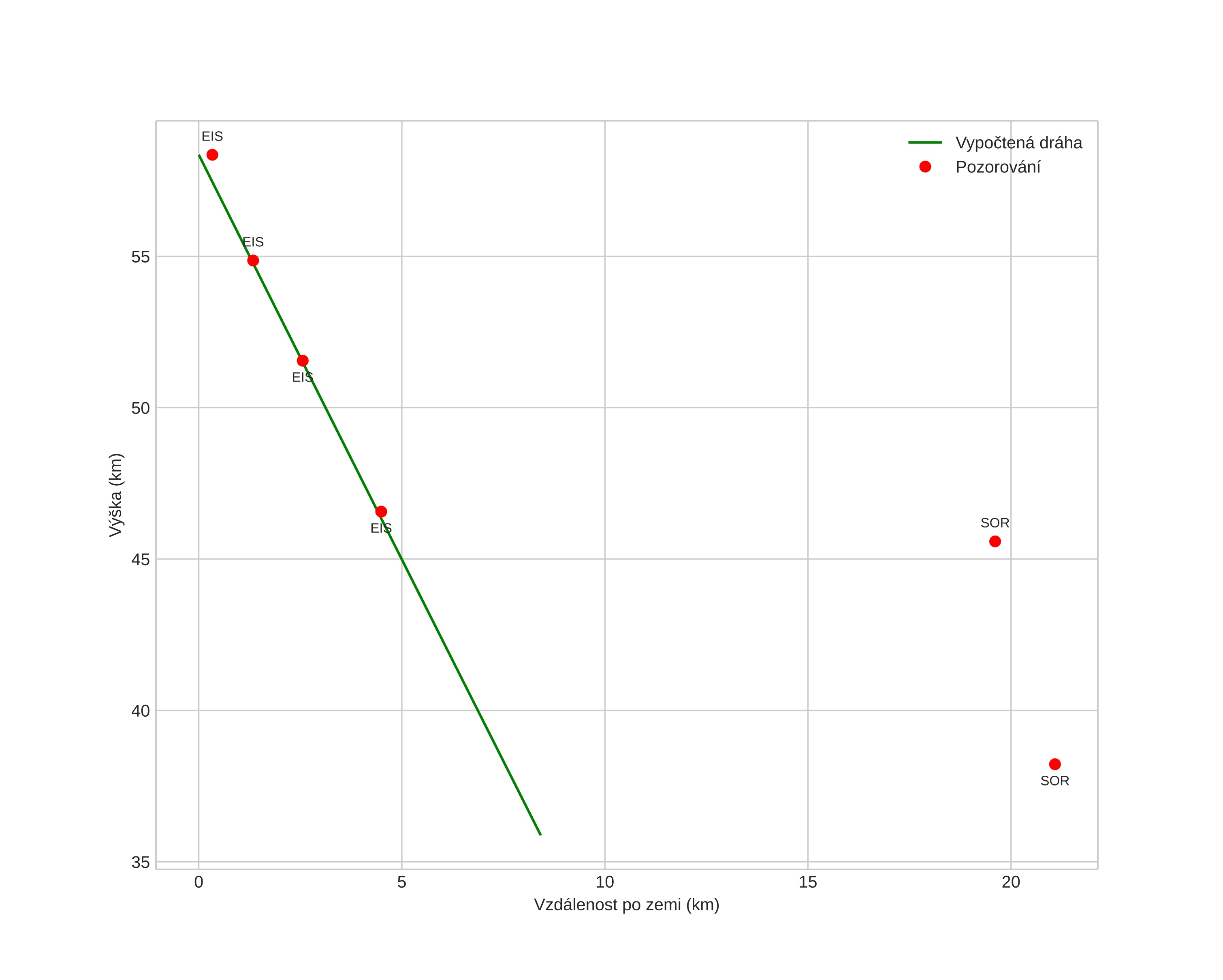
Atmosférická dráha meteoru:
Počáteční výška: 59,0 km
Konečná výška: 35,6 km
Počáteční poloha: 69,380N 17,399E
Konečná poloha: 69,356N 17,214E
Směr: 249,4°
Sklon: 71,7°
VstupnĂ­ rychlost: 16,2 km/s
Rektascenze radiantu: 02:08 (32,2°)
Deklinace radiantu: 66,9°
MeteorickĂ˝ roj: sporadickĂ˝
Elementy dráhy meteoroidu:
Vzdálenost v periheliu: 0,878 AU
Excentricita: 0,346
Sklon dráhy: 15,8°
Délka vzestupného uzlu: 249,9°
Argument perihelia: 234,9°
Střední anomálie: 332,9°
Epocha: 2023 DEC 02 16:27:48
orbit plot

NeinteraktivnĂ­ graf | InteraktivnĂ­ graf

position vs time
speed and acceleration