🇳🇴 🇬🇧 🇩🇪 🇨🇿 🇫🇮

Meteor, poloha: Fedje 2023-12-07 07:15:39 UTC

Soubor KML  |  InteraktivnĂ­ mapa

Mapa zobrazuje dráhy meteoru. Světlejší čáry ukazují směry od pozorovacích stanic při objevení se meteoru a tmavší čáry, kde byl naposledy viděn. Modrá šipka značí viditelnou dráhu meteoru.

static map
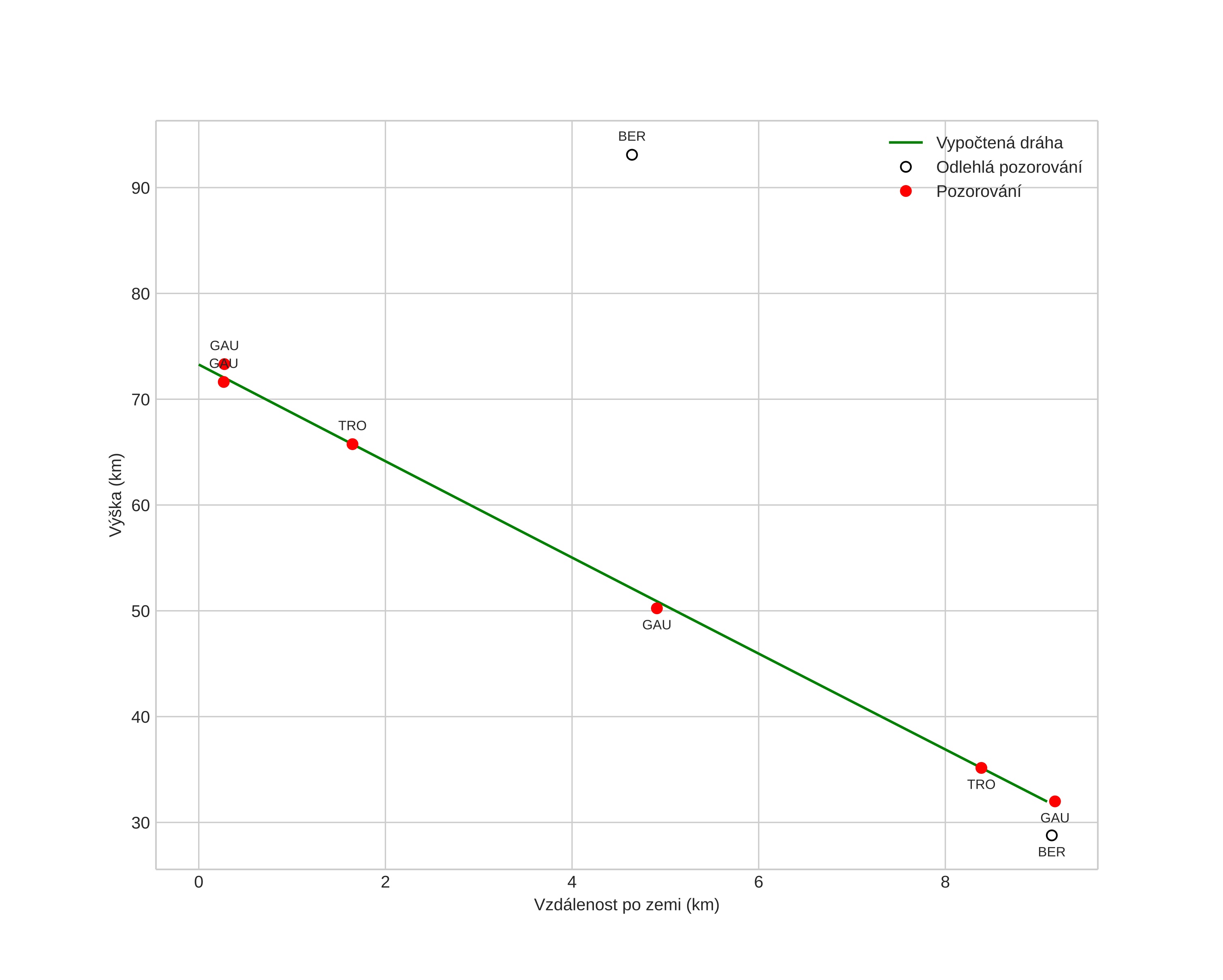
height profile
Atmosférická dráha meteoru:
Počáteční výška: 73,3 km
Konečná výška: 32,0 km
Počáteční poloha: 60,154N 2,590E
Konečná poloha: 60,203N 2,721E
Směr: 53,2°
Sklon: 77,6°
VstupnĂ­ rychlost: 24,9 km/s
Rektascenze radiantu: 11:17 (169,3°)
Deklinace radiantu: 50,9°
MeteorickĂ˝ roj: sporadickĂ˝
Elementy dráhy meteoroidu:
Vzdálenost v periheliu: 0,304 AU
Excentricita: 0,539
Sklon dráhy: 45,7°
Délka vzestupného uzlu: 254,6°
Argument perihelia: 346,5°
Střední anomálie: 217,2°
Epocha: 2023 DEC 07 07:15:39
orbit plot

NeinteraktivnĂ­ graf | InteraktivnĂ­ graf

position vs time
speed and acceleration

Bergen (BER) cam1

gnomonic
Videa
Obrázky
Textové soubory
• Detekce
• Pozorování
• Protokol
Jasnost

Gaustatoppen (GAU) cam1


gnomonic
Videa
• Gnomonická
• Gnomonická se souřadnicemi
• Původní
• Původní se souřadnicemi
Obrázky
• Gnomonická
• Gnomonická se souřadnicemi
• Gnomonická s popisky
• Původní
• Původní se souřadnicemi
Textové soubory
• Detekce
• Pozorování
• Souřadnice
• Chybová hlášení
• Protokol
Jasnost

Trondheim (TRO) cam1


gnomonic
Videa
• Gnomonická
• Gnomonická se souřadnicemi
• Původní
• Původní se souřadnicemi
Obrázky
• Gnomonická
• Gnomonická se souřadnicemi
• Gnomonická s popisky
• Původní
• Původní se souřadnicemi
• Původní s maskou
Textové soubory
• Detekce
• Pozorování
• Souřadnice
• Protokol
Jasnost